اهلا وسهلا بك فى بوابة الثانوية العامة ... سجل الان

العودة   بوابة الثانوية العامة المصرية > الصف الثالث الثانوي 2024 / 2025 > شعبـة العلـوم و الرياضيـات > الرياضيات 3 ث > منهج الرياضيات البحتة 3 ث > المراجعات والامتحانات والاسئلة الرياضيات البحتة 3 ث

إضافة رد
 
أدوات الموضوع انواع عرض الموضوع
  #1  
قديم 06-06-2009, 07:30 AM
الصورة الرمزية هشام عبد المطلب
هشام عبد المطلب هشام عبد المطلب غير متواجد حالياً
مدرس الرياضيات للمرحلة الثانوية
 
تاريخ التسجيل: Mar 2008
المشاركات: 282
معدل تقييم المستوى: 18
هشام عبد المطلب is on a distinguished road
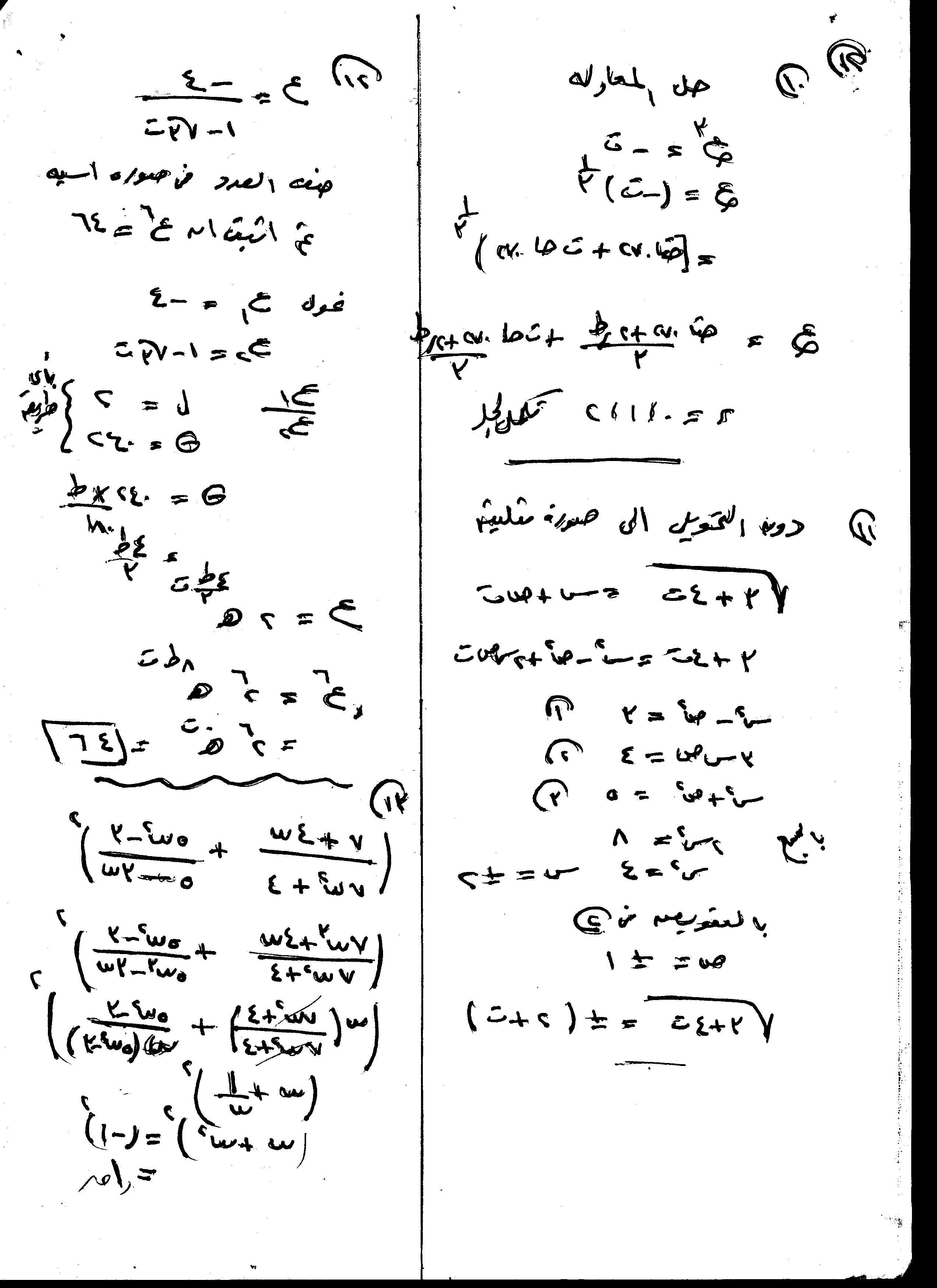
افتراضي المراجعة النهائية للجبر

ازرع اليوم لتحصد غدا
الصور المصغرة للصور المرفقة
اضغط على الصورة لعرض أكبر

الاســـم:	1.jpg‏
المشاهدات:	1832
الحجـــم:	342.7 كيلوبايت
الرقم:	21510   اضغط على الصورة لعرض أكبر

الاســـم:	2.jpg‏
المشاهدات:	1275
الحجـــم:	335.3 كيلوبايت
الرقم:	21511   اضغط على الصورة لعرض أكبر

الاســـم:	3.jpg‏
المشاهدات:	1051
الحجـــم:	534.0 كيلوبايت
الرقم:	21512   اضغط على الصورة لعرض أكبر

الاســـم:	4.jpg‏
المشاهدات:	788
الحجـــم:	554.9 كيلوبايت
الرقم:	21513   اضغط على الصورة لعرض أكبر

الاســـم:	5.jpg‏
المشاهدات:	960
الحجـــم:	655.7 كيلوبايت
الرقم:	21514  

__________________
الاستاذ / هشام عبد المطلب
رياضيات بمدرسة
احمد طه حسين الثانوية باسوان

رد مع اقتباس
  #2  
قديم 06-06-2009, 07:36 AM
الصورة الرمزية هشام عبد المطلب
هشام عبد المطلب هشام عبد المطلب غير متواجد حالياً
مدرس الرياضيات للمرحلة الثانوية
 
تاريخ التسجيل: Mar 2008
المشاركات: 282
معدل تقييم المستوى: 18
هشام عبد المطلب is on a distinguished road
افتراضي

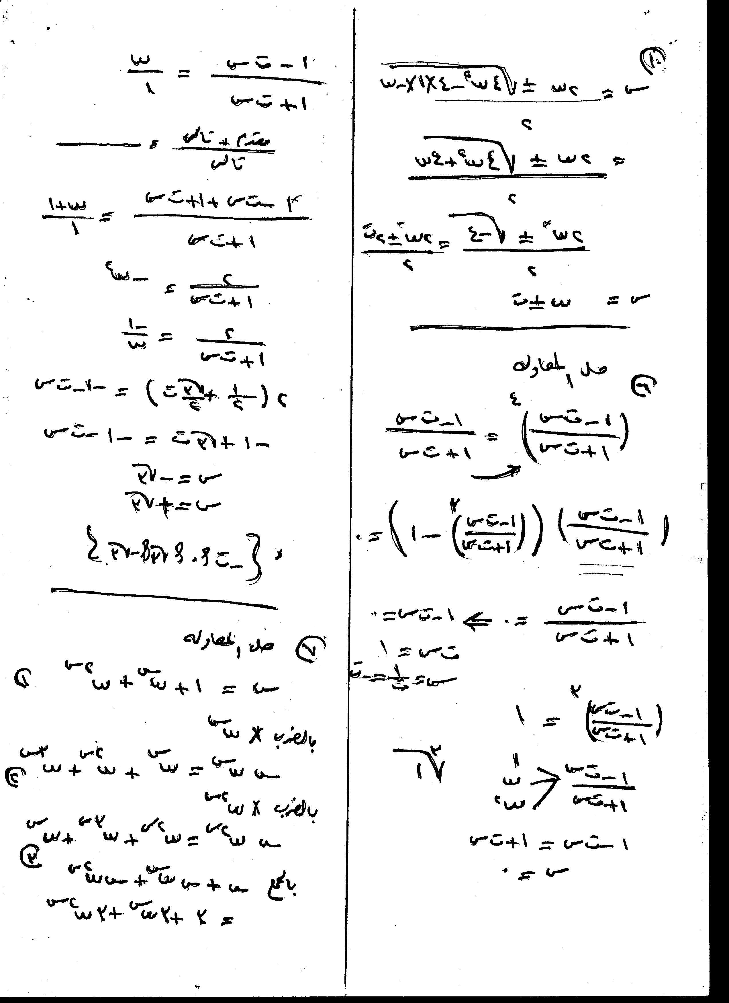
تكملة المراجعة
الصور المصغرة للصور المرفقة
اضغط على الصورة لعرض أكبر

الاســـم:	6.jpg‏
المشاهدات:	760
الحجـــم:	607.9 كيلوبايت
الرقم:	21515   اضغط على الصورة لعرض أكبر

الاســـم:	7.jpg‏
المشاهدات:	699
الحجـــم:	539.4 كيلوبايت
الرقم:	21516   اضغط على الصورة لعرض أكبر

الاســـم:	8.jpg‏
المشاهدات:	540
الحجـــم:	540.5 كيلوبايت
الرقم:	21517   اضغط على الصورة لعرض أكبر

الاســـم:	9.jpg‏
المشاهدات:	547
الحجـــم:	592.7 كيلوبايت
الرقم:	21518   اضغط على الصورة لعرض أكبر

الاســـم:	10.jpg‏
المشاهدات:	482
الحجـــم:	526.3 كيلوبايت
الرقم:	21519  

__________________
الاستاذ / هشام عبد المطلب
رياضيات بمدرسة
احمد طه حسين الثانوية باسوان

رد مع اقتباس
  #3  
قديم 06-06-2009, 07:41 AM
الصورة الرمزية هشام عبد المطلب
هشام عبد المطلب هشام عبد المطلب غير متواجد حالياً
مدرس الرياضيات للمرحلة الثانوية
 
تاريخ التسجيل: Mar 2008
المشاركات: 282
معدل تقييم المستوى: 18
هشام عبد المطلب is on a distinguished road
افتراضي

الناجح يرفع ايدة:a v4056bb7jp3:
والله الموفق
الصور المصغرة للصور المرفقة
اضغط على الصورة لعرض أكبر

الاســـم:	11.jpg‏
المشاهدات:	602
الحجـــم:	596.2 كيلوبايت
الرقم:	21520   اضغط على الصورة لعرض أكبر

الاســـم:	12.jpg‏
المشاهدات:	506
الحجـــم:	530.8 كيلوبايت
الرقم:	21521   اضغط على الصورة لعرض أكبر

الاســـم:	13.jpg‏
المشاهدات:	439
الحجـــم:	487.6 كيلوبايت
الرقم:	21522  
__________________
الاستاذ / هشام عبد المطلب
رياضيات بمدرسة
احمد طه حسين الثانوية باسوان

رد مع اقتباس
  #4  
قديم 06-06-2009, 08:36 AM
الصورة الرمزية amour_amour88
amour_amour88 amour_amour88 غير متواجد حالياً
عضو خبير
 
تاريخ التسجيل: Jan 2009
العمر: 34
المشاركات: 579
معدل تقييم المستوى: 17
amour_amour88 is on a distinguished road
افتراضي

كده العمليه مش مظبوطه حضرتك ممكن تنزلهم ف المرفقات علشان بس نعرف نشوفهم ونحلهم
__________________
منتهى التحدى أن تعشق من ليس لك
وقمة الحزن أن تبتسم وفى عينيك ألف دمعه
وقمة الألم أن تسكت وقى قلبك جرح يتكلم
وقمة الحب أن تحب من جرحك
رد مع اقتباس
  #5  
قديم 18-06-2009, 02:03 AM
الصورة الرمزية الاستاذ محمد سرور
الاستاذ محمد سرور الاستاذ محمد سرور غير متواجد حالياً
العبد الفقير الى الله
 
تاريخ التسجيل: May 2008
المشاركات: 3,915
معدل تقييم المستوى: 21
الاستاذ محمد سرور will become famous soon enough
افتراضي

تنشيط
...............
__________________
تمنيت أن أسجد لله سجدة لا أنهض بعدها أبدا" إلا لأرى ربى

اقتباس:
فعن حذيفة بن اليمان رضي الله عنه قال رسول الله صلى الله عليه وسلم (تكون النبوة فيكم ما شاء الله أن تكون ثم يرفعها إذا شاء أن يرفعها ثم تكون خلافة على منهاج النبوة فتكون ما شاء الله أن تكون ثم يرفعها إذا شاء الله أن يرفعها ثم تكون ملكا عاضّاً فيكون ما شاء الله أن يكون ثم يرفعها إذا شاء أن يرفعها ثم تكون ملكا جبرية فتكون ما شاء الله أن تكون ثم يرفعها إذا شاء أن يرفعها ثم تكون خلافة على منهاج النبوة ثم سكت)

صححه الالبانى

لو دخلتوا الجنة ومالقتونيش ...
إسألوا على واشفعولى عند ربى
رد مع اقتباس
  #6  
قديم 07-09-2010, 02:32 AM
essamhashesh essamhashesh غير متواجد حالياً
عضو جديد
 
تاريخ التسجيل: Oct 2008
المشاركات: 10
معدل تقييم المستوى: 0
essamhashesh is on a distinguished road
افتراضي

ممتازززززززززززززززززززززززززززززززززززززززززززززز زززززززززززززززززززززز
رد مع اقتباس
  #7  
قديم 07-09-2010, 05:23 PM
الصورة الرمزية mahmmoud_sakr
mahmmoud_sakr mahmmoud_sakr غير متواجد حالياً
معلم رياضيات
 
تاريخ التسجيل: Oct 2008
المشاركات: 3,326
معدل تقييم المستوى: 21
mahmmoud_sakr is on a distinguished road
افتراضي



__________________


رد مع اقتباس
  #8  
قديم 09-09-2010, 12:43 PM
محمود.محمود محمود.محمود غير متواجد حالياً
عضو جديد
 
تاريخ التسجيل: Aug 2008
المشاركات: 41
معدل تقييم المستوى: 0
محمود.محمود is on a distinguished road
افتراضي

مشكوررررررررررررررررررررررررررررر
رد مع اقتباس
  #9  
قديم 10-09-2010, 12:49 AM
mody_khlil2001 mody_khlil2001 غير متواجد حالياً
عضو رائع
 
تاريخ التسجيل: Aug 2008
المشاركات: 714
معدل تقييم المستوى: 18
mody_khlil2001 is on a distinguished road
افتراضي

مشكوررررررررررررررررررررررررررررر
رد مع اقتباس
  #10  
قديم 10-09-2010, 12:52 AM
mody_khlil2001 mody_khlil2001 غير متواجد حالياً
عضو رائع
 
تاريخ التسجيل: Aug 2008
المشاركات: 714
معدل تقييم المستوى: 18
mody_khlil2001 is on a distinguished road
افتراضي

http://modykhlil2000.rigala.net/mont...pic-t81.htm#81
دا رابط لموقع قمت بانشائة اتمني ان ينال رضاك
وانتظر مشاركاتك معي وهو خاص بالرياضيات
رد مع اقتباس
  #11  
قديم 27-09-2010, 06:49 PM
الصورة الرمزية خالد صبرى حسن
خالد صبرى حسن خالد صبرى حسن غير متواجد حالياً
عضو فعال
 
تاريخ التسجيل: Oct 2009
العمر: 32
المشاركات: 390
معدل تقييم المستوى: 17
خالد صبرى حسن is on a distinguished road
افتراضي

من الافضل انك تضع الصور فى file
__________________
خالد صبرى سكران
إنك تخطو نحو الشيخوخة يوماً مقابل كل دقيقة من الغضب
إنني جاهل، لا أعرف إلا حقيقة واحدة ، وهي أنني لا أعرف شيئا
[I][B]
[COLOR=Blue][U][I][B][SIZE=4]
رد مع اقتباس
  #12  
قديم 27-09-2010, 10:19 PM
m.mosba7 sa2r m.mosba7 sa2r غير متواجد حالياً
عضو خبير
 
تاريخ التسجيل: Oct 2008
المشاركات: 755
معدل تقييم المستوى: 18
m.mosba7 sa2r is on a distinguished road
افتراضي

مشكوررررررررررررررررررررررررررررر
رد مع اقتباس
  #13  
قديم 03-11-2010, 01:27 PM
ابو شدا 1 ابو شدا 1 غير متواجد حالياً
عضو جديد
 
تاريخ التسجيل: Jan 2010
المشاركات: 7
معدل تقييم المستوى: 0
ابو شدا 1 is on a distinguished road
افتراضي

مشكووووووووووووووووووووووووووور
رد مع اقتباس
  #14  
قديم 09-11-2010, 09:38 AM
النحريرى النحريرى غير متواجد حالياً
عضو جديد
 
تاريخ التسجيل: Jun 2008
المشاركات: 36
معدل تقييم المستوى: 0
النحريرى is on a distinguished road
افتراضي

مشكووووووووووووووور جدا
رد مع اقتباس
  #15  
قديم 09-11-2010, 11:32 AM
الصورة الرمزية ahmed_virus55
ahmed_virus55 ahmed_virus55 غير متواجد حالياً
عضو مجتهد
 
تاريخ التسجيل: Nov 2010
العمر: 32
المشاركات: 52
معدل تقييم المستوى: 16
ahmed_virus55 is on a distinguished road
Icon7

thnx
wait better
رد مع اقتباس
إضافة رد

العلامات المرجعية


ضوابط المشاركة
لا تستطيع إضافة مواضيع جديدة
لا تستطيع الرد على المواضيع
لا يمكنك اضافة مرفقات
لا يمكنك تعديل مشاركاتك

BB code متاحة
كود [IMG] متاحة
كود HTML معطلة

الانتقال السريع


جميع الأوقات بتوقيت GMT +2. الساعة الآن 05:44 AM.