اهلا وسهلا بك فى بوابة الثانوية العامة ... سجل الان

العودة   بوابة الثانوية العامة المصرية > الصف الثالث الثانوي 2024 / 2025 > شعبـة العلـوم و الرياضيـات > الرياضيات 3 ث > منهج الرياضيات البحتة 3 ث > المراجعات والامتحانات والاسئلة الرياضيات البحتة 3 ث

الإستطلاع: رايكم فى المسئلة
خيارات إستطلاع
رايكم فى المسئلة

إضافة رد
 
أدوات الموضوع انواع عرض الموضوع
  #136  
قديم 29-04-2009, 09:47 PM
الصورة الرمزية bedo17
bedo17 bedo17 غير متواجد حالياً
عضو نشيط
 
تاريخ التسجيل: Jun 2008
العمر: 33
المشاركات: 168
معدل تقييم المستوى: 18
bedo17 is on a distinguished road
افتراضي

شكرا استاذ
رد مع اقتباس
  #137  
قديم 01-05-2009, 09:28 PM
smsmsmsmey smsmsmsmey غير متواجد حالياً
عضو جديد
 
تاريخ التسجيل: Jun 2008
المشاركات: 17
معدل تقييم المستوى: 0
smsmsmsmey is on a distinguished road
افتراضي

goooooooooooooooooooooooood
رد مع اقتباس
  #138  
قديم 08-05-2009, 10:17 AM
الصورة الرمزية عبدالبارى العوامى
عبدالبارى العوامى عبدالبارى العوامى غير متواجد حالياً
مدرس الرياضيات
 
تاريخ التسجيل: Sep 2008
المشاركات: 103
معدل تقييم المستوى: 18
عبدالبارى العوامى is on a distinguished road
افتراضي

مشكووووووووووووووووووووووووووووووووووووووووووووووو وووووووووور
رد مع اقتباس
  #139  
قديم 08-05-2009, 10:22 AM
الصورة الرمزية عبدالبارى العوامى
عبدالبارى العوامى عبدالبارى العوامى غير متواجد حالياً
مدرس الرياضيات
 
تاريخ التسجيل: Sep 2008
المشاركات: 103
معدل تقييم المستوى: 18
عبدالبارى العوامى is on a distinguished road
افتراضي

شكرااااااااا
رد مع اقتباس
  #140  
قديم 08-05-2009, 11:13 PM
secret secret غير متواجد حالياً
عضو جديد
 
تاريخ التسجيل: Apr 2008
المشاركات: 41
معدل تقييم المستوى: 0
secret is on a distinguished road
افتراضي

مشكورررررررررررررررررررررررررررررررررررررررررررررر رررررررررررررررررررررررررررررررررررررررررررررررررر رررررررررررررررررررررررررررررررررررررررررررررررررر ر
رد مع اقتباس
  #141  
قديم 10-05-2009, 12:37 AM
bedo33050 bedo33050 غير متواجد حالياً
عضو مجتهد
 
تاريخ التسجيل: May 2008
المشاركات: 80
معدل تقييم المستوى: 18
bedo33050 is on a distinguished road
افتراضي

اين هذ التمارين
برجاء اعادة رفعها مرة ثانية
و مشكور استاذ غازى على الجهد الطيب
رد مع اقتباس
  #142  
قديم 10-05-2009, 07:18 PM
carl21 carl21 غير متواجد حالياً
عضو جديد
 
تاريخ التسجيل: Apr 2009
المشاركات: 2
معدل تقييم المستوى: 0
carl21 is on a distinguished road
افتراضي

مشكوووووووووووووووووووور
رد مع اقتباس
  #143  
قديم 15-05-2009, 05:23 PM
الصورة الرمزية asmaia
asmaia asmaia غير متواجد حالياً
عضو مجتهد
 
تاريخ التسجيل: Apr 2008
العمر: 29
المشاركات: 91
معدل تقييم المستوى: 18
asmaia is on a distinguished road
افتراضي اسئله فى الرياضه2؟

السلام عليكم
انا دلوقتى فى سؤال فى الكتاب المدرسى صفحه 8
واجابته
بس نفسى افهم حل السؤال ده ازاى ؟

*اوجد : 1 1 1
_______ + ـــــــــــــــــــــــ + ـــــــــــــــــــــــ

| ن-2 | ن-1 | ن
|ــــــــــــــــ |ـــــــــــــــــــــــــــ |ــــــــــــــــــــــ

*السؤال التانى

اذا كانت ن ق 4 ، ن ق 5 ، ن ق 6 )

متتابعه حسابيه فأوجد قيمه ن؟


ياريت حد يفيدنى
ولكم جزيل الشكر وجزاكم الله خيرا


رد مع اقتباس
  #144  
قديم 15-05-2009, 05:40 PM
الصورة الرمزية عبده عثمان
عبده عثمان عبده عثمان غير متواجد حالياً
عضو ممتاز
 
تاريخ التسجيل: Apr 2008
المشاركات: 303
معدل تقييم المستوى: 18
عبده عثمان is on a distinguished road
افتراضي مسائل ديناميكا

http://www.4shared.com/get/103372520.../__online.html
رد مع اقتباس
  #145  
قديم 17-05-2009, 06:20 PM
هدهد سليمان هدهد سليمان غير متواجد حالياً
عضو جديد
 
تاريخ التسجيل: May 2009
المشاركات: 18
معدل تقييم المستوى: 0
هدهد سليمان is on a distinguished road
افتراضي

مش راضى يفتح بميديا بلاير ايه اللى ممكن يشغله وشكرا ليك
رد مع اقتباس
  #146  
قديم 29-05-2009, 09:45 AM
الصورة الرمزية ba7eb alahly awi
ba7eb alahly awi ba7eb alahly awi غير متواجد حالياً
عضو نشيط
 
تاريخ التسجيل: May 2009
المشاركات: 156
معدل تقييم المستوى: 17
ba7eb alahly awi is on a distinguished road
افتراضي

مش المسئله ديه في دليل التقويم
رد مع اقتباس
  #147  
قديم 29-05-2009, 09:49 AM
الصورة الرمزية ba7eb alahly awi
ba7eb alahly awi ba7eb alahly awi غير متواجد حالياً
عضو نشيط
 
تاريخ التسجيل: May 2009
المشاركات: 156
معدل تقييم المستوى: 17
ba7eb alahly awi is on a distinguished road
افتراضي

صحيح المسئله فئ صفحه 421 في لامي
رد مع اقتباس
  #148  
قديم 29-05-2009, 02:14 PM
الصورة الرمزية naughty girl
naughty girl naughty girl غير متواجد حالياً
عضو مجتهد
 
تاريخ التسجيل: May 2008
المشاركات: 50
معدل تقييم المستوى: 18
naughty girl is on a distinguished road
افتراضي

هى اصلا مسالة وحشة اوى اوى
انا بحاول افهمها مش عارفة
المستر بتاعى شرحهالى مرتين بس لا حياه لمن ينادى
رد مع اقتباس
  #149  
قديم 17-06-2009, 03:14 PM
moh_math moh_math غير متواجد حالياً
عضو جديد
 
تاريخ التسجيل: May 2009
المشاركات: 12
معدل تقييم المستوى: 0
moh_math is on a distinguished road
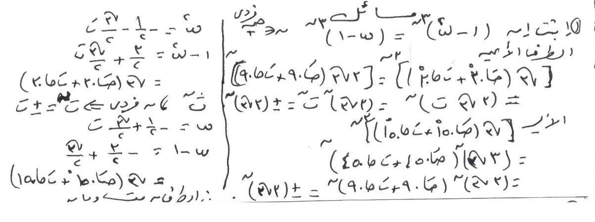
افتراضي مساله على الأعداد المركبه

لماذا إدراج الصور صعب
يجب زياده حجم التحميل
مساله على الأعداد المركبه
الصور المصغرة للصور المرفقة
اضغط على الصورة لعرض أكبر

الاســـم:	مساله على الأعداد المركبه 3.JPG‏
المشاهدات:	152
الحجـــم:	62.3 كيلوبايت
الرقم:	22103  
__________________
moh_math**egypt**zagazig**
"وقل رب أدخلنى مدخل صدق وأخرجنى مخرج صدق وإجعل لى من لدنك سلطانا نصيرا " صدق الله العظيم
رد مع اقتباس
  #150  
قديم 17-06-2009, 03:21 PM
moh_math moh_math غير متواجد حالياً
عضو جديد
 
تاريخ التسجيل: May 2009
المشاركات: 12
معدل تقييم المستوى: 0
moh_math is on a distinguished road
افتراضي مساله على الأعداد المركبه 1

مساله على الأعداد المركبه
الصور المصغرة للصور المرفقة
اضغط على الصورة لعرض أكبر

الاســـم:	مساله على الأعداد المركبه 1.JPG‏
المشاهدات:	131
الحجـــم:	63.2 كيلوبايت
الرقم:	22104  
__________________
moh_math**egypt**zagazig**
"وقل رب أدخلنى مدخل صدق وأخرجنى مخرج صدق وإجعل لى من لدنك سلطانا نصيرا " صدق الله العظيم
رد مع اقتباس
إضافة رد

العلامات المرجعية

الكلمات الدلالية (Tags)
مسألأة متحهات, اريد حل هذه المسائل, ارجو الرد باقصى سرعة, برنامج . حماية. ويندوز, برنامج حماية ويندوز, حمايه, جبر 3, حد يفيد يكون, سؤال لللأذكياء:-, كتابة الكسور

أدوات الموضوع
انواع عرض الموضوع

ضوابط المشاركة
لا تستطيع إضافة مواضيع جديدة
لا تستطيع الرد على المواضيع
لا يمكنك اضافة مرفقات
لا يمكنك تعديل مشاركاتك

BB code متاحة
كود [IMG] متاحة
كود HTML معطلة

الانتقال السريع


جميع الأوقات بتوقيت GMT +2. الساعة الآن 03:01 AM.