اهلا وسهلا بك فى بوابة الثانوية العامة ... سجل الان

العودة   بوابة الثانوية العامة المصرية > الصف الثالث الثانوي 2024 / 2025 > شعبـة العلـوم و الرياضيـات > الرياضيات 3 ث > منهج الرياضيات البحتة 3 ث > المراجعات والامتحانات والاسئلة الرياضيات البحتة 3 ث

الإستطلاع: رايكم فى المسئلة
خيارات إستطلاع
رايكم فى المسئلة

إضافة رد
 
أدوات الموضوع انواع عرض الموضوع
  #4351  
قديم 24-04-2014, 11:16 AM
reda_29 reda_29 غير متواجد حالياً
عضو نشيط
 
تاريخ التسجيل: Mar 2009
المشاركات: 252
معدل تقييم المستوى: 17
reda_29 is on a distinguished road
افتراضي

جزاك الله خيرا
م / السيد محمود
__________________
(( فقلت استغفروا ربكم إنه كان غفاراً ))




رد مع اقتباس
  #4352  
قديم 24-04-2014, 11:53 AM
sad4444 sad4444 غير متواجد حالياً
عضو جديد
 
تاريخ التسجيل: Jun 2009
المشاركات: 26
معدل تقييم المستوى: 0
sad4444 is on a distinguished road
Impp ممكن الحل الاصح لهذه المساله

تكامل جذر (1-حاس) دس في الفتره من 0 الي 180 هل الحل -2حا(س/2)-2حتا(س/2)+ث او 2حا(س/2)+2جتا(س/2)+ث ام هوغيرذلك وياريت اللي عارف يشرح الحل كامل مع كيفيه التعامل مع المقياس المتكون مع الحل
رد مع اقتباس
  #4353  
قديم 24-04-2014, 08:36 PM
TITO.TAHA TITO.TAHA غير متواجد حالياً
عضو جديد
 
تاريخ التسجيل: Nov 2012
العمر: 29
المشاركات: 6
معدل تقييم المستوى: 0
TITO.TAHA is on a distinguished road
افتراضي

س2ص3=(س+5)5

اثبت ان:
دص/دس = ص / س
رد مع اقتباس
  #4354  
قديم 25-04-2014, 12:00 AM
الصورة الرمزية السيدحمدى
السيدحمدى السيدحمدى غير متواجد حالياً
عضو ذهبي
 
تاريخ التسجيل: Aug 2008
المشاركات: 531
معدل تقييم المستوى: 18
السيدحمدى is on a distinguished road
افتراضي اريد حلول نماذج كتاب المدرسه

المطلوب حل نماذج كتاب المدرسه فى الميكانيكا 2014 كتاب حديث

إن تكرمتم
رد مع اقتباس
  #4355  
قديم 25-04-2014, 07:03 AM
sad4444 sad4444 غير متواجد حالياً
عضو جديد
 
تاريخ التسجيل: Jun 2009
المشاركات: 26
معدل تقييم المستوى: 0
sad4444 is on a distinguished road
Impp ارجو المساعده للاهميه

تكامل جذر (1-حاس) دس في الفتره من 0 الي 180 هل الحل -2حا(س/2)-2حتا(س/2)+ث او 2حا(س/2)+2جتا(س/2)+ث ام هوغيرذلك وياريت اللي عارف يشرح الحل كامل مع كيفيه التعامل مع المقياس المتكون مع الحل
رد مع اقتباس
  #4356  
قديم 25-04-2014, 03:01 PM
Mahmoud.Shaban Mahmoud.Shaban غير متواجد حالياً
عضو جديد
 
تاريخ التسجيل: Nov 2010
العمر: 30
المشاركات: 46
معدل تقييم المستوى: 0
Mahmoud.Shaban is on a distinguished road
افتراضي



لو فيه اي مشكله في الحل قوللي علي طول..
رد مع اقتباس
  #4357  
قديم 25-04-2014, 09:22 PM
ma7moudzak ma7moudzak غير متواجد حالياً
عضو جديد
 
تاريخ التسجيل: Apr 2014
العمر: 29
المشاركات: 8
معدل تقييم المستوى: 0
ma7moudzak is on a distinguished road
افتراضي سؤال ضرورى جدا

هل احنا مطالبين ببراهين الميكانيكا وممكن تيجى فى الامتحان على صورة اثبت ؟؟ ياريت الاستاذة الافاضل يردوا عليا جزاهم الله خيرا
رد مع اقتباس
  #4358  
قديم 26-04-2014, 09:38 PM
mohamed mohamed 2013 mohamed mohamed 2013 غير متواجد حالياً
عضو جديد
 
تاريخ التسجيل: Nov 2013
المشاركات: 5
معدل تقييم المستوى: 0
mohamed mohamed 2013 is on a distinguished road
Icon111 ممكن حل تمارين المستشار في التفاضل ؟؟؟؟؟؟؟

ممكن حل تمارين المستشار في التفاضل ؟؟؟؟؟؟؟
رد مع اقتباس
  #4359  
قديم 27-04-2014, 11:57 AM
edomedo edomedo غير متواجد حالياً
عضو جديد
 
تاريخ التسجيل: Apr 2009
المشاركات: 17
معدل تقييم المستوى: 0
edomedo is on a distinguished road
Icon111

اقتباس:
المشاركة الأصلية كتبت بواسطة sara gamal 96 مشاهدة المشاركة
بيقولوا عشان نراجع نعد نحل مساااااااااااااااائل وندرب ع افكار كتير
وانا مش لاقيه وقت احل غير قليل اوي وبشد ف شعري الحمد لله
ربنا معانا انشاء الله
رد مع اقتباس
  #4360  
قديم 27-04-2014, 11:59 AM
edomedo edomedo غير متواجد حالياً
عضو جديد
 
تاريخ التسجيل: Apr 2009
المشاركات: 17
معدل تقييم المستوى: 0
edomedo is on a distinguished road
Star

اقتباس:
المشاركة الأصلية كتبت بواسطة senior007 مشاهدة المشاركة
الكلام ده لكل المواد
حل امتحانات سنين سابقة
وعامل نفسك كأنك فى لجنة بجد
متبصش فى نموذج الاجابة الا لما تخلص الامتحان كله
متشغلش نفسك بمأكولات او مشروبات
وشوف الوقت اللى هتخلص فيه الامتحان كاملاً باجابات نموذجية قد ايه
واتدرب وخلى هدفك انك تحل الامتحان فى نص الوقت بالظبط أو اقل
عشان لما تيجى اخر السنة العوامل دى هتضطر تحطها فى الحُسبان
1- التوتر وشد الاعصاب ورهبة اللجنة,
2- الجو الحار جداً ,
3- وقت كافى للمراجعة ,
4- احتمالية الخطأ فى توزيع كراسات الاجابة أو التأخير ,
5- لا قدر الله وصلت اللجنة متأخر ,
6- صعوبة مستوى الامتحان عن المُعتاد ,

~~~~~~~~~~~~
النقطة التانية فى المراجعة والمهمة جداً انك تعلى بمستوى تفكيرك وتوسع دماغك
وده عن طريق حل دليل التقويم , كتاب الوزارة , اسئلة التميز ,

~~~~~~~~~~~~~~

بالنسبة للرياضة والفيزيا
مافيش اى داعى تجيب كتب اضافية
المهم بس تخلص السنين السابقة ودليل التقويم وكتاب الوزارة , وأفكار التميز
~~~~

ربنا يكون فـ عونكم
ربنا يخليك شكرا جداا
رد مع اقتباس
  #4361  
قديم 27-04-2014, 06:07 PM
الصورة الرمزية zidan
zidan zidan غير متواجد حالياً
عضو جديد
 
تاريخ التسجيل: Apr 2008
المشاركات: 44
معدل تقييم المستوى: 0
zidan is on a distinguished road
افتراضي

الامتحان الاول
الصور المرفقة
نوع الملف: jpg Copy of 27-04-2014 05-59-28 م2.jpg‏ (155.0 كيلوبايت, المشاهدات 221)
نوع الملف: jpg Copy of 27-04-2014 05-59-28 م1.jpg‏ (63.6 كيلوبايت, المشاهدات 191)
رد مع اقتباس
  #4362  
قديم 27-04-2014, 07:27 PM
الصورة الرمزية محمد يوسف يوسف
محمد يوسف يوسف محمد يوسف يوسف غير متواجد حالياً
مــٌــعلــم رياضيات
 
تاريخ التسجيل: Aug 2008
المشاركات: 554
معدل تقييم المستوى: 18
محمد يوسف يوسف is on a distinguished road
افتراضي

اقتباس:
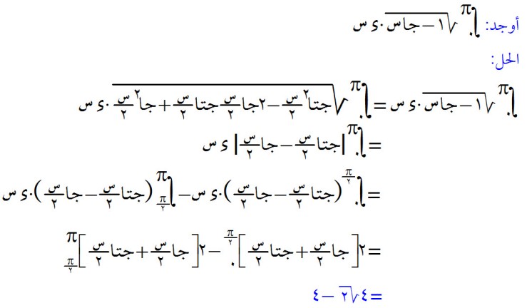
المشاركة الأصلية كتبت بواسطة sad4444 مشاهدة المشاركة
تكامل جذر (1-حاس) دس في الفتره من 0 الي 180 هل الحل -2حا(س/2)-2حتا(س/2)+ث او 2حا(س/2)+2جتا(س/2)+ث ام هوغيرذلك وياريت اللي عارف يشرح الحل كامل مع كيفيه التعامل مع المقياس المتكون مع الحل
السلام عليكم ورحمة الله وبكاته

أولاً: يجب أن تكون حدود التكامل بالقياس الدائري في مثل هذه الحالاات ...

ثانياً: عند أخذ الجذر التربيعي .. يراعى أن يكون المقدار غير سالب ... لذلك يجب اتخاذ ما يلزم من إجراءات لضمان سلامة البناء الرياضي للحل ...

ثالثاً: من المعلوم أن قيمة دالة جيب التمام أكبر من قيمة دالة الجيب في الفترة [0 ، Pi/4 [، بينما دالة الجيب تكون ذات القيمة الأكبر في الفترة المتبقية من الربع الأول ...


الصور المرفقة
نوع الملف: jpg تكامل محدود - بوابة الثانوية العامة.jpg‏ (101.8 كيلوبايت, المشاهدات 115)
نوع الملف: jpg تكامل محدود - بوابة الثانوية العامة أقل حجم.jpg‏ (40.0 كيلوبايت, المشاهدات 247)
رد مع اقتباس
  #4363  
قديم 27-04-2014, 11:27 PM
nader76 nader76 غير متواجد حالياً
معلم رياضيات
 
تاريخ التسجيل: Nov 2007
المشاركات: 1,076
معدل تقييم المستوى: 20
nader76 is on a distinguished road
افتراضي

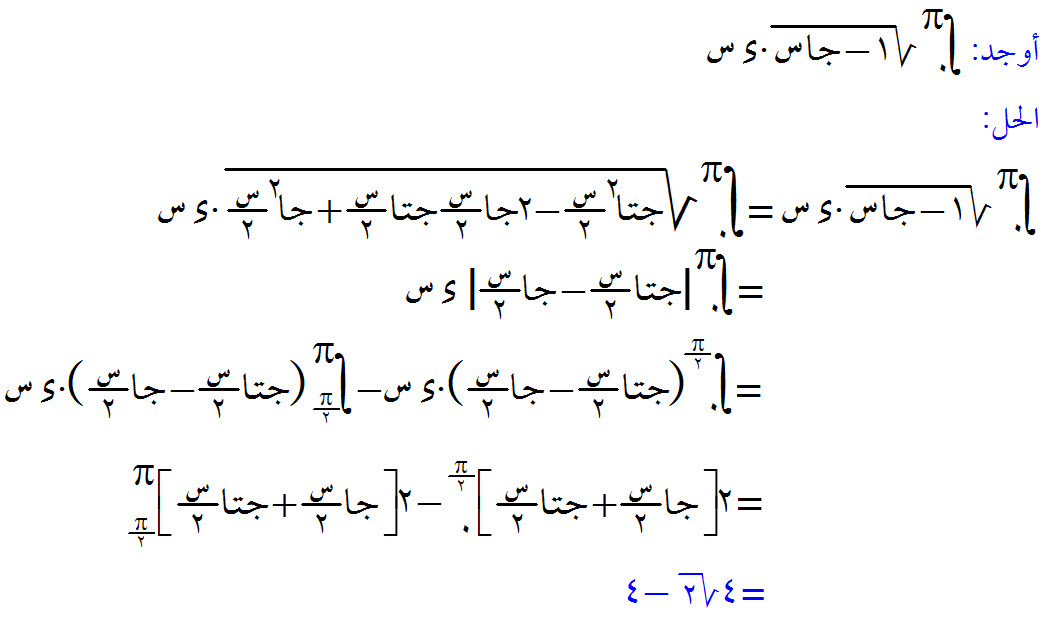
هذه هى المسألة



هل النتائج المذكورة صحيحة أو أن هناك خطأ بالمسألة نرجو الإفادة
رد مع اقتباس
  #4364  
قديم 28-04-2014, 10:48 AM
exmohamd exmohamd غير متواجد حالياً
عضو جديد
 
تاريخ التسجيل: Apr 2010
المشاركات: 1
معدل تقييم المستوى: 0
exmohamd is on a distinguished road
افتراضي

دص/دس = ص(3س-2)/س(3س+3)
رد مع اقتباس
  #4365  
قديم 28-04-2014, 11:31 AM
ahmedbaraya1 ahmedbaraya1 غير متواجد حالياً
عضو جديد
 
تاريخ التسجيل: Apr 2014
العمر: 37
المشاركات: 31
معدل تقييم المستوى: 0
ahmedbaraya1 is on a distinguished road
افتراضي

مشكووووووووووووور
رد مع اقتباس
إضافة رد

العلامات المرجعية

الكلمات الدلالية (Tags)
مسألأة متحهات, اريد حل هذه المسائل, ارجو الرد باقصى سرعة, برنامج . حماية. ويندوز, برنامج حماية ويندوز, حمايه, جبر 3, حد يفيد يكون, سؤال لللأذكياء:-, كتابة الكسور

أدوات الموضوع
انواع عرض الموضوع

ضوابط المشاركة
لا تستطيع إضافة مواضيع جديدة
لا تستطيع الرد على المواضيع
لا يمكنك اضافة مرفقات
لا يمكنك تعديل مشاركاتك

BB code متاحة
كود [IMG] متاحة
كود HTML معطلة

الانتقال السريع


جميع الأوقات بتوقيت GMT +2. الساعة الآن 12:54 AM.