اهلا وسهلا بك فى بوابة الثانوية العامة ... سجل الان

العودة   بوابة الثانوية العامة المصرية > الصف الثالث الثانوي 2024 / 2025 > شعبـة العلـوم و الرياضيـات > الرياضيات 3 ث > منهج الرياضيات البحتة 3 ث > المراجعات والامتحانات والاسئلة الرياضيات البحتة 3 ث

الإستطلاع: رايكم فى المسئلة
خيارات إستطلاع
رايكم فى المسئلة

إضافة رد
 
أدوات الموضوع انواع عرض الموضوع
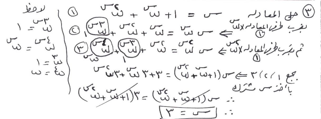
  #1  
قديم 09-09-2008, 05:40 PM
Mr.Edwar Mr.Edwar غير متواجد حالياً
مدرس الرياضيات
 
تاريخ التسجيل: Aug 2008
المشاركات: 410
معدل تقييم المستوى: 18
Mr.Edwar is on a distinguished road
افتراضي

المهم الحلول عجبتك انا عجبتني المسائل وخاصة الثالثة بها فكرة والاولي ايضا جامدة
عموما اي خدمة
ملفك ورد به الوان ممكن يكون مشكلة عند كارت الشاشة القديم
خلي ملفك ابيض واسود والاحسن تحوله Pdf ,وترسله
__________________
Mr.Edwar
رد مع اقتباس
  #2  
قديم 09-09-2008, 06:06 PM
الصورة الرمزية غازى عبداللا
غازى عبداللا غازى عبداللا غير متواجد حالياً
مدرس الرياضيات
المركز الثالث فى المسابقة الشعرية فبراير 2016
 
تاريخ التسجيل: May 2008
المشاركات: 584
معدل تقييم المستوى: 18
غازى عبداللا is on a distinguished road
افتراضي

الحلول طبعاً جميلة جدا جدا وشكراً على المعلومة الجميلة
__________________
رد مع اقتباس
  #3  
قديم 09-09-2008, 06:18 PM
الصورة الرمزية غازى عبداللا
غازى عبداللا غازى عبداللا غير متواجد حالياً
مدرس الرياضيات
المركز الثالث فى المسابقة الشعرية فبراير 2016
 
تاريخ التسجيل: May 2008
المشاركات: 584
معدل تقييم المستوى: 18
غازى عبداللا is on a distinguished road
افتراضي

أناآسف مستر edwar معرفتش أحول الى الصيغة Pdf ياريت لو عندك برنامج للموضوع ده تبعتهولى
أكرر اسفى للإزعاج
__________________
رد مع اقتباس
  #4  
قديم 19-09-2008, 11:36 PM
Mr.Edwar Mr.Edwar غير متواجد حالياً
مدرس الرياضيات
 
تاريخ التسجيل: Aug 2008
المشاركات: 410
معدل تقييم المستوى: 18
Mr.Edwar is on a distinguished road
افتراضي

طبعا لازم يكون عنك علي الجهاز برنامج اكروبات ريدر ويفضل الاحدث 8 او الجديد بعد ذلك
وطبعا تم set up علي الجهاز
وبعد ما تكتب ملف الوورد
احفظه
اضغط Ctrl + P
واكمل عملية الطباعة
تمنياتي بالتوفيق
__________________
Mr.Edwar
رد مع اقتباس
  #5  
قديم 19-09-2008, 11:42 PM
الصورة الرمزية غازى عبداللا
غازى عبداللا غازى عبداللا غير متواجد حالياً
مدرس الرياضيات
المركز الثالث فى المسابقة الشعرية فبراير 2016
 
تاريخ التسجيل: May 2008
المشاركات: 584
معدل تقييم المستوى: 18
غازى عبداللا is on a distinguished road
افتراضي

لسه فاكر شكرا يا اخى ادوار
__________________
رد مع اقتباس
  #6  
قديم 20-09-2008, 12:07 AM
Mr.Edwar Mr.Edwar غير متواجد حالياً
مدرس الرياضيات
 
تاريخ التسجيل: Aug 2008
المشاركات: 410
معدل تقييم المستوى: 18
Mr.Edwar is on a distinguished road
افتراضي

لسه فاكر انت بتحب الست زي ولا ايه
يا باشا انا مش ناسيك ازاي ازاي ازاي انساك
كل الومضوع اني اول ما شفت الرسالة صدقني رديت عليها في اسرع وقت
__________________
Mr.Edwar
رد مع اقتباس
  #7  
قديم 15-09-2008, 06:09 PM
الصورة الرمزية غازى عبداللا
غازى عبداللا غازى عبداللا غير متواجد حالياً
مدرس الرياضيات
المركز الثالث فى المسابقة الشعرية فبراير 2016
 
تاريخ التسجيل: May 2008
المشاركات: 584
معدل تقييم المستوى: 18
غازى عبداللا is on a distinguished road
افتراضي مسائل جميلة (جبر 2)

مسائل جميلة ( حل بسرعة )
__________________

آخر تعديل بواسطة غازى عبداللا ، 04-12-2008 الساعة 11:19 PM
رد مع اقتباس
  #8  
قديم 18-09-2008, 02:28 PM
prof.ahmed4d prof.ahmed4d غير متواجد حالياً
كلية حاسبات جامعة المنيا
 
تاريخ التسجيل: Nov 2007
العمر: 33
المشاركات: 1,505
معدل تقييم المستوى: 19
prof.ahmed4d is on a distinguished road
افتراضي

انتظر الحل قريبا يا مستر
__________________

CLOSE
رد مع اقتباس
  #9  
قديم 18-09-2008, 11:08 PM
السراب السراب غير متواجد حالياً
عضو مجتهد
 
تاريخ التسجيل: May 2008
المشاركات: 92
معدل تقييم المستوى: 18
السراب is on a distinguished road
افتراضي

شكرا على المسائل فى انتظار المزيد
__________________
بلى انا مشتاق وعندى لوعة ولكن مثلى لا يذاع له سر
رد مع اقتباس
  #10  
قديم 19-09-2008, 07:20 AM
الصورة الرمزية Iam Alegend
Iam Alegend Iam Alegend غير متواجد حالياً
طالبه جامعيه* صيدله المنصوره*
 
تاريخ التسجيل: Aug 2008
العمر: 31
المشاركات: 600
معدل تقييم المستوى: 18
Iam Alegend is on a distinguished road
افتراضي

ميرسى يامستر
رد مع اقتباس
  #11  
قديم 19-09-2008, 10:09 PM
الصورة الرمزية غازى عبداللا
غازى عبداللا غازى عبداللا غير متواجد حالياً
مدرس الرياضيات
المركز الثالث فى المسابقة الشعرية فبراير 2016
 
تاريخ التسجيل: May 2008
المشاركات: 584
معدل تقييم المستوى: 18
غازى عبداللا is on a distinguished road
افتراضي

فين يا أبنائى الحلول عايزين تفاعل بلاش كسل
__________________
رد مع اقتباس
  #12  
قديم 20-09-2008, 02:07 AM
الصورة الرمزية احمد الديب ( ابو زياد )
احمد الديب ( ابو زياد ) احمد الديب ( ابو زياد ) غير متواجد حالياً
مــٌــعلــم
 
تاريخ التسجيل: Oct 2006
المشاركات: 2,447
معدل تقييم المستوى: 0
احمد الديب ( ابو زياد ) is an unknown quantity at this point
افتراضي

اقتباس:
المشاركة الأصلية كتبت بواسطة غازى عبداللا مشاهدة المشاركة
فين يا أبنائى الحلول عايزين تفاعل بلاش كسل


طبعا مسائل قويه جدا وعموما سننتظر الطلبه في النقاش وانا متأكد ان طلبة المنتدي جامدين خالص وان شاء الله خير
__________________

مرسي مرسي مرسي مرسي مرسي مرسي مرسي مرسي مرسي مرسي مرسي مرسي مرسي مرسي مرسي مرسي مرسي مرسي مرسي مرسي مرسي مرسي مرسي مرسي مرسي مرسي مرسي مرسي مرسي مرسي مرسي مرسي مرسي مرسي
رد مع اقتباس
  #13  
قديم 21-09-2008, 09:39 PM
الصورة الرمزية Sherif Elkhodary
Sherif Elkhodary Sherif Elkhodary غير متواجد حالياً
عضو متألق
 
تاريخ التسجيل: Jan 2008
المشاركات: 3,952
معدل تقييم المستوى: 21
Sherif Elkhodary is on a distinguished road
افتراضي

اقتباس:
المشاركة الأصلية كتبت بواسطة غازى عبداللا مشاهدة المشاركة
فين يا أبنائى الحلول عايزين تفاعل بلاش كسل
استاذ غازي ممكن تمهلني يومين و هجبلك بقية المسائل

انا حليت ثاني مسالة

ممكن تنتظر يومين فقط
رد مع اقتباس
  #14  
قديم 21-09-2008, 02:50 PM
الصورة الرمزية Its My Life
Its My Life Its My Life غير متواجد حالياً
طالبة جامعية ( اعدادى هندسة )
 
تاريخ التسجيل: Jun 2008
العمر: 34
المشاركات: 2,475
معدل تقييم المستوى: 20
Its My Life is on a distinguished road
افتراضي

شكرا على المسائل
رد مع اقتباس
  #15  
قديم 17-06-2009, 03:14 PM
moh_math moh_math غير متواجد حالياً
عضو جديد
 
تاريخ التسجيل: May 2009
المشاركات: 12
معدل تقييم المستوى: 0
moh_math is on a distinguished road
افتراضي مساله على الأعداد المركبه

لماذا إدراج الصور صعب
يجب زياده حجم التحميل
مساله على الأعداد المركبه
الصور المصغرة للصور المرفقة
اضغط على الصورة لعرض أكبر

الاســـم:	مساله على الأعداد المركبه 3.JPG‏
المشاهدات:	151
الحجـــم:	62.3 كيلوبايت
الرقم:	22103  
__________________
moh_math**egypt**zagazig**
"وقل رب أدخلنى مدخل صدق وأخرجنى مخرج صدق وإجعل لى من لدنك سلطانا نصيرا " صدق الله العظيم
رد مع اقتباس
إضافة رد

العلامات المرجعية

الكلمات الدلالية (Tags)
مسألأة متحهات, اريد حل هذه المسائل, ارجو الرد باقصى سرعة, برنامج . حماية. ويندوز, برنامج حماية ويندوز, حمايه, جبر 3, حد يفيد يكون, سؤال لللأذكياء:-, كتابة الكسور

أدوات الموضوع
انواع عرض الموضوع

ضوابط المشاركة
لا تستطيع إضافة مواضيع جديدة
لا تستطيع الرد على المواضيع
لا يمكنك اضافة مرفقات
لا يمكنك تعديل مشاركاتك

BB code متاحة
كود [IMG] متاحة
كود HTML معطلة

الانتقال السريع


جميع الأوقات بتوقيت GMT +2. الساعة الآن 10:00 PM.