اهلا وسهلا بك فى بوابة الثانوية العامة ... سجل الان

العودة   بوابة الثانوية العامة المصرية > الصف الثالث الثانوي 2024 / 2025 > شعبـة العلـوم و الرياضيـات > الرياضيات 3 ث > منهج الرياضيات البحتة 3 ث > المراجعات والامتحانات والاسئلة الرياضيات البحتة 3 ث

الإستطلاع: رايكم فى المسئلة
خيارات إستطلاع
رايكم فى المسئلة

إضافة رد
 
أدوات الموضوع انواع عرض الموضوع
  #2926  
قديم 06-06-2013, 06:08 PM
عمرالبطاوى عمرالبطاوى غير متواجد حالياً
عضو مجتهد
 
تاريخ التسجيل: Aug 2010
المشاركات: 132
معدل تقييم المستوى: 16
عمرالبطاوى is on a distinguished road
افتراضي

طب حضراتكم بالنسبة للصف الثالث الكتب هتنزل امتي والتغيير هيبقي في الميكانيكا بس والفروع التانية كماهي ؟
رد مع اقتباس
  #2927  
قديم 06-06-2013, 06:26 PM
Ahmed_121186 Ahmed_121186 غير متواجد حالياً
معلم رياضيات
 
تاريخ التسجيل: Sep 2011
العمر: 39
المشاركات: 126
معدل تقييم المستوى: 15
Ahmed_121186 is on a distinguished road
افتراضي

اقتباس:
المشاركة الأصلية كتبت بواسطة سيرة الايام مشاهدة المشاركة
رجل فى قارب يبعد 14 متر عن اقرب نقطة اليه من شاطئ مستقيم ولتكن أ يرغب فى الوصول الى نقطة على الشاطئ (ب) تبعد 60 متر عن (أ) فاذا علم ان الرجل يستطيع ان يجدف بسرعة 30 م/د وان يمشى على الشاطئ بسرعة 40 م/د اوجد اين يرسو ليصل الى (ب) فى اقل وقت ممكن
الصور المرفقة
نوع الملف: png 11.png‏ (34.0 كيلوبايت, المشاهدات 146)
__________________
لا الا الا الله لا اله الا انت سبحانك اني كنت من الظالمين ربي اني ظلمت نفسي ظلما كثير فان لم تغفر لي وترحمني اكن من الهالكين
رد مع اقتباس
  #2928  
قديم 06-06-2013, 08:20 PM
hady hasan hady hasan غير متواجد حالياً
عضو مجتهد
 
تاريخ التسجيل: May 2013
العمر: 53
المشاركات: 52
معدل تقييم المستوى: 13
hady hasan is on a distinguished road
افتراضي

التحميل مش شغال
رد مع اقتباس
  #2929  
قديم 06-06-2013, 10:20 PM
سيرة الايام سيرة الايام غير متواجد حالياً
Faculty of Medicine Assiut University
 
تاريخ التسجيل: Oct 2009
العمر: 30
المشاركات: 468
معدل تقييم المستوى: 17
سيرة الايام is on a distinguished road
افتراضي ارجو الحل الضرورى

1- قوتان احداهما ضعف الاخرى فى المقدار ولهما محلة ما فاذا ضوعف مقدار القوة الكبرى وزيد مقدار الصغرى 4 ث جم فان محصلتهما تظل فى نفس اتجاه المحصلة الاولى : اوجد: (اولا ) مقدار كل من القوتين . (ثانيا) التغير فى مقدار المحصلة .

2- أ ب ج مثلث اطوال اضلاعه أ ب , ب ج , ج أ هى على الترتيب 15 , 18 , 21 سم . اثرت ثلاث قوى 750 , 900 , 1050 ث جم فة ب أ , ج ب , أ ج على الترتيب . اثبت ان المجموعة تكافئ ازدواجا واوجد معيار عزمه .
رد مع اقتباس
  #2930  
قديم 06-06-2013, 10:27 PM
سيرة الايام سيرة الايام غير متواجد حالياً
Faculty of Medicine Assiut University
 
تاريخ التسجيل: Oct 2009
العمر: 30
المشاركات: 468
معدل تقييم المستوى: 17
سيرة الايام is on a distinguished road
افتراضي ارجو الحل

قضيب منتظم أ ب وزنه 6 ث كجم يرتكز بطرفه أ على حائط رأسى أملس ويمر القضيب فى حلقة ملساء مربوطة فى احد طرفى خيط والطرف الاخر مثبت فى نقطة د على الحائط أعلى نقطة أ فاذا اتزن القضيب فى وضع يصنع فيه زاوية قياسها 60 مع الحائط . اثبت ان الخيط يكون عموديا على القضيب فى هذه الحالة .
رد مع اقتباس
  #2931  
قديم 06-06-2013, 11:10 PM
moahmedoooooooooooooooooo moahmedoooooooooooooooooo غير متواجد حالياً
عضو نشيط
 
تاريخ التسجيل: Jun 2008
المشاركات: 178
معدل تقييم المستوى: 18
moahmedoooooooooooooooooo is on a distinguished road
افتراضي من نماذج الميكانيكا 2013

رد مع اقتباس
  #2932  
قديم 06-06-2013, 11:11 PM
الصورة الرمزية محمد يوسف يوسف
محمد يوسف يوسف محمد يوسف يوسف غير متواجد حالياً
مــٌــعلــم رياضيات
 
تاريخ التسجيل: Aug 2008
المشاركات: 554
معدل تقييم المستوى: 18
محمد يوسف يوسف is on a distinguished road
افتراضي

اقتباس:
المشاركة الأصلية كتبت بواسطة سيرة الايام مشاهدة المشاركة
قضيب منتظم أ ب وزنه 6 ث كجم يرتكز بطرفه أ على حائط رأسى أملس ويمر القضيب فى حلقة ملساء مربوطة فى احد طرفى خيط والطرف الاخر مثبت فى نقطة د على الحائط أعلى نقطة أ فاذا اتزن القضيب فى وضع يصنع فيه زاوية قياسها 60 مع الحائط . اثبت ان الخيط يكون عموديا على القضيب فى هذه الحالة .

السلام عليكم ...

تتبعي الرابط ..


http://www.thanwya.com/vb/showthread.php?t=520228
رد مع اقتباس
  #2933  
قديم 07-06-2013, 12:30 AM
الصورة الرمزية محمد يوسف يوسف
محمد يوسف يوسف محمد يوسف يوسف غير متواجد حالياً
مــٌــعلــم رياضيات
 
تاريخ التسجيل: Aug 2008
المشاركات: 554
معدل تقييم المستوى: 18
محمد يوسف يوسف is on a distinguished road
افتراضي

اقتباس:
المشاركة الأصلية كتبت بواسطة moahmedoooooooooooooooooo مشاهدة المشاركة
السلام عليكم ...

راجع إجابة التمرين رقم (38) داخل ملف الإجابات بالرابط التالي ...


http://www.thanwya.com/vb/showthread.php?t=250478
رد مع اقتباس
  #2934  
قديم 07-06-2013, 03:46 AM
nader76 nader76 غير متواجد حالياً
معلم رياضيات
 
تاريخ التسجيل: Nov 2007
المشاركات: 1,076
معدل تقييم المستوى: 20
nader76 is on a distinguished road
افتراضي

عزيزى moahmedoooooooooooooooooo
شكرا جزيلا وبارك الله فيك ولكن اين نماذج 2013 التى منها هذه المسألة
رد مع اقتباس
  #2935  
قديم 07-06-2013, 03:58 AM
nader76 nader76 غير متواجد حالياً
معلم رياضيات
 
تاريخ التسجيل: Nov 2007
المشاركات: 1,076
معدل تقييم المستوى: 20
nader76 is on a distinguished road
افتراضي

الاستاذ العظيم والمربى الفاضل /محمد سعيد
ربنا يبارك فيك وفى اهلك واولادك على اسلوبك الجميل في الحل وسرعة تلبيتك
رد مع اقتباس
  #2936  
قديم 07-06-2013, 05:20 AM
Ahmed_121186 Ahmed_121186 غير متواجد حالياً
معلم رياضيات
 
تاريخ التسجيل: Sep 2011
العمر: 39
المشاركات: 126
معدل تقييم المستوى: 15
Ahmed_121186 is on a distinguished road
افتراضي

اقتباس:
المشاركة الأصلية كتبت بواسطة سيرة الايام مشاهدة المشاركة
1- قوتان احداهما ضعف الاخرى فى المقدار ولهما محلة ما فاذا ضوعف مقدار القوة الكبرى وزيد مقدار الصغرى 4 ث جم فان محصلتهما تظل فى نفس اتجاه المحصلة الاولى : اوجد: (اولا ) مقدار كل من القوتين . (ثانيا) التغير فى مقدار المحصلة .

2- أ ب ج مثلث اطوال اضلاعه أ ب , ب ج , ج أ هى على الترتيب 15 , 18 , 21 سم . اثرت ثلاث قوى 750 , 900 , 1050 ث جم فة ب أ , ج ب , أ ج على الترتيب . اثبت ان المجموعة تكافئ ازدواجا واوجد معيار عزمه .
السؤال الاول

الصور المرفقة
نوع الملف: png 12.png‏ (28.5 كيلوبايت, المشاهدات 125)
__________________
لا الا الا الله لا اله الا انت سبحانك اني كنت من الظالمين ربي اني ظلمت نفسي ظلما كثير فان لم تغفر لي وترحمني اكن من الهالكين
رد مع اقتباس
  #2937  
قديم 07-06-2013, 05:46 AM
Ahmed_121186 Ahmed_121186 غير متواجد حالياً
معلم رياضيات
 
تاريخ التسجيل: Sep 2011
العمر: 39
المشاركات: 126
معدل تقييم المستوى: 15
Ahmed_121186 is on a distinguished road
افتراضي

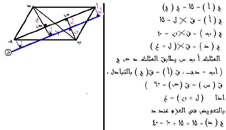
السؤال التاني
الصور المرفقة
نوع الملف: png 13.png‏ (31.1 كيلوبايت, المشاهدات 126)
__________________
لا الا الا الله لا اله الا انت سبحانك اني كنت من الظالمين ربي اني ظلمت نفسي ظلما كثير فان لم تغفر لي وترحمني اكن من الهالكين
رد مع اقتباس
  #2938  
قديم 07-06-2013, 10:19 AM
الصورة الرمزية محمد يوسف يوسف
محمد يوسف يوسف محمد يوسف يوسف غير متواجد حالياً
مــٌــعلــم رياضيات
 
تاريخ التسجيل: Aug 2008
المشاركات: 554
معدل تقييم المستوى: 18
محمد يوسف يوسف is on a distinguished road
افتراضي

اقتباس:
المشاركة الأصلية كتبت بواسطة ccdd مشاهدة المشاركة
السلام عليكم ...

(جـ)


(د)


(هـ)


(ح)



الصور المرفقة
نوع الملف: png مسألة محددات 002.png‏ (38.9 كيلوبايت, المشاهدات 140)
نوع الملف: png مسألة محددات 005.png‏ (33.9 كيلوبايت, المشاهدات 148)
نوع الملف: png مسألة محددات 003.png‏ (16.2 كيلوبايت, المشاهدات 138)
نوع الملف: png مسألة محددات 004.png‏ (26.5 كيلوبايت, المشاهدات 137)
رد مع اقتباس
  #2939  
قديم 07-06-2013, 04:19 PM
moahmedoooooooooooooooooo moahmedoooooooooooooooooo غير متواجد حالياً
عضو نشيط
 
تاريخ التسجيل: Jun 2008
المشاركات: 178
معدل تقييم المستوى: 18
moahmedoooooooooooooooooo is on a distinguished road
افتراضي

يعني ايه تناسب عناصر عمودين ؟؟؟
رد مع اقتباس
  #2940  
قديم 07-06-2013, 04:26 PM
moahmedoooooooooooooooooo moahmedoooooooooooooooooo غير متواجد حالياً
عضو نشيط
 
تاريخ التسجيل: Jun 2008
المشاركات: 178
معدل تقييم المستوى: 18
moahmedoooooooooooooooooo is on a distinguished road
افتراضي

معلش

استاذي الموقع يطلب التسجيل

ياريت ترفعهم مباشر او اي موقع تاني اسهل
رد مع اقتباس
إضافة رد

العلامات المرجعية

الكلمات الدلالية (Tags)
مسألأة متحهات, اريد حل هذه المسائل, ارجو الرد باقصى سرعة, برنامج . حماية. ويندوز, برنامج حماية ويندوز, حمايه, جبر 3, حد يفيد يكون, سؤال لللأذكياء:-, كتابة الكسور


ضوابط المشاركة
لا تستطيع إضافة مواضيع جديدة
لا تستطيع الرد على المواضيع
لا يمكنك اضافة مرفقات
لا يمكنك تعديل مشاركاتك

BB code متاحة
كود [IMG] متاحة
كود HTML معطلة

الانتقال السريع


جميع الأوقات بتوقيت GMT +2. الساعة الآن 04:43 AM.