اهلا وسهلا بك فى بوابة الثانوية العامة ... سجل الان

العودة   بوابة الثانوية العامة المصرية > الصف الثالث الثانوي 2024 / 2025 > الشعبـة الأدبيـة 3ث > الإحصـاء 3ث

إضافة رد
 
أدوات الموضوع انواع عرض الموضوع
  #16  
قديم 24-05-2009, 07:11 AM
lovelyheart lovelyheart غير متواجد حالياً
عضو مجتهد
 
تاريخ التسجيل: Jan 2008
المشاركات: 80
معدل تقييم المستوى: 18
lovelyheart is on a distinguished road
افتراضي

جد تحفه و رنا يجزيكوا كل خير :] بس ممكين توضح ازاي نجيب سجما سكوير و كدا عشان نتاكد و ياريت لو بانجليزي :] :]
رد مع اقتباس
  #17  
قديم 24-05-2009, 07:14 AM
lovelyheart lovelyheart غير متواجد حالياً
عضو مجتهد
 
تاريخ التسجيل: Jan 2008
المشاركات: 80
معدل تقييم المستوى: 18
lovelyheart is on a distinguished road
افتراضي

اقتباس:
الخانة الأولى س هتتحط فى x
الخانة التانية د(س)فنعدل فيها تعديل مشترط "هنوحد المقامات لكل الاحتمالات" و بعدين "ننقل البسط و نحطه فى الجدول قصاد كل قيمة س مناظرة"

ممكن توضح النقطه دي
رد مع اقتباس
  #18  
قديم 24-05-2009, 07:21 AM
lovelyheart lovelyheart غير متواجد حالياً
عضو مجتهد
 
تاريخ التسجيل: Jan 2008
المشاركات: 80
معدل تقييم المستوى: 18
lovelyheart is on a distinguished road
افتراضي

شكرا جدا و انا اسفه و خلاص انا فهمتها بجد جزاك الله كل خير انا كنت اعرف بعضهم ولاكن الباقي بصراحه جديد
ربنا يوفقك يارب و شكرا جزيلا
رد مع اقتباس
  #19  
قديم 25-05-2009, 06:43 AM
الصورة الرمزية karimo2020
karimo2020 karimo2020 غير متواجد حالياً
مدرس رياضيات
 
تاريخ التسجيل: Jun 2008
المشاركات: 218
معدل تقييم المستوى: 18
karimo2020 is on a distinguished road
افتراضي

مجهود راااااااااااااااااااااائع
وموضوع أروع يحتاجه الكثير
جزاك الله خيرا
رد مع اقتباس
  #20  
قديم 25-05-2009, 12:48 PM
harrrpo harrrpo غير متواجد حالياً
طالب ثانوى ( الصف الثالث )
 
تاريخ التسجيل: Jul 2008
المشاركات: 66
معدل تقييم المستوى: 18
harrrpo is on a distinguished road
افتراضي

يا ريت باقي الاستخدامات
انا بقى رياضة 2 و رياضة مستوى
و مش مشكلةو الواحد برده محتاج يتاكد من كل حاجة في الامتحان
رد مع اقتباس
  #21  
قديم 25-05-2009, 06:18 PM
الصورة الرمزية abdelRhman772007
abdelRhman772007 abdelRhman772007 غير متواجد حالياً
طالب جامعى (كلية هندسة )
 
تاريخ التسجيل: Nov 2007
المشاركات: 1,504
معدل تقييم المستوى: 20
abdelRhman772007 is on a distinguished road
افتراضي

اقتباس:
المشاركة الأصلية كتبت بواسطة harrrpo مشاهدة المشاركة
يا ريت باقي الاستخدامات
انا بقى رياضة 2 و رياضة مستوى
و مش مشكلةو الواحد برده محتاج يتاكد من كل حاجة في الامتحان
حقيقى زى ما قولت مش مفيدة يعنى المنحنى الطبيعى كل اللى بيعمله أنه بيطلع قيمة الاحتمال بدل ما تبص فى الجدول
و المتصل بنستخدم فيه التكامل المحدد اللى فى الآلة عشان يحسب المساحة اللى بتمثل الاحتمال
ماهماش مهمين فمتشغلش بالك بيهم
__________________
من السهل أن يكون لك مكان في دفتر عناوين أصدقائك
ولكن من الصعب أن تجد لك مكاناً في قلوبهم

رد مع اقتباس
  #22  
قديم 25-05-2009, 07:08 PM
الصورة الرمزية abdelRhman772007
abdelRhman772007 abdelRhman772007 غير متواجد حالياً
طالب جامعى (كلية هندسة )
 
تاريخ التسجيل: Nov 2007
المشاركات: 1,504
معدل تقييم المستوى: 20
abdelRhman772007 is on a distinguished road
افتراضي

بسم الله الرحمن الرحيم
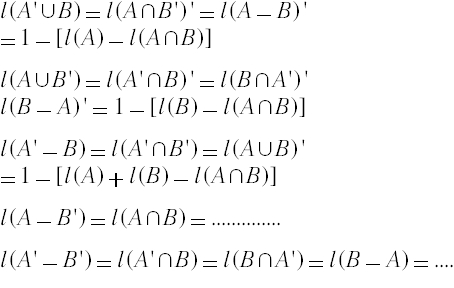
عشان الوقت ما يضيقش علينا هاحط مشاركتى فى كيفية تبسيط صور الاحتمالات فى الباب الأول
عايز اتفق معكم على كام حاجة الأول تقدر تبسط بيها تقريبًا أى احتمال يقابلك و من غير رسم
و أكيد ممكن تتأكد بالرسم معاه عشان تتأكد مرتين

#إذا كان هناك فرق من الممكن إبداله إى تقاطع مع عكس مابعده(إذا كان خليه مكمل ألف و العكس بالعكس)
#إذا كان هناك تقاطع من الممكن إبدالها بالفرق مع عكس ما بعدها
#التقاطع و الاتحاد يخضع للإبدال
#يمكن عكس القوس مع عكس كل ما داخل القوس
مثلاً زى قانونا دى مورجان
=========================
نطبق بقى و هكتب انجليزى عشان الكتابة تبقى سهلة
فى المرفقات
أى استفسار فى أى نقطة قولوا بس و خلوها على الله
الصور المصغرة للصور المرفقة
اضغط على الصورة لعرض أكبر

الاســـم:	STAT.jpg‏
المشاهدات:	286
الحجـــم:	61.6 كيلوبايت
الرقم:	20897  
__________________
من السهل أن يكون لك مكان في دفتر عناوين أصدقائك
ولكن من الصعب أن تجد لك مكاناً في قلوبهم

رد مع اقتباس
  #23  
قديم 29-05-2009, 02:20 AM
Rien Rien غير متواجد حالياً
عضو قدوة
 
تاريخ التسجيل: May 2008
المشاركات: 1,531
معدل تقييم المستوى: 19
Rien is on a distinguished road
افتراضي

اقتباس:
المشاركة الأصلية كتبت بواسطة abdelrhman772007 مشاهدة المشاركة
يعنى مثلاً جبت معامل الارتباط فهيضيف خانة على الجدول
عشان كده لازم تشيله هو ممكن تكون ما بتأثرش و لكن توقع ما لا يتوقع
و بعدين شبه متأكد أنك لو سيبته فى الجدول و جيت تعمل مثلاً سميشن إكس
هيطلع غلط
فلازم نشيل أى خانة احنا حاسبنها يعنى مش من الجدول الأصلى
فهمت قصدك
انت لو جيبت الارتباط وانت فاتح الجدول لسة
هاتتضاف خانة جديدة فيه
وفعلا الناتج هايطلع غلط بعد كدة
حتى جرب تانى تجيب الارتباط من غير ما تشيل الخانة دى
هاتلاقيه مختلف خالص
بس انا باقفل الجدول بـ( ac ) قبل ماجيب الارتباط او اى حاجة
وبالتالى مفيش حاجة بتتضاف فيه
عشان كدة ماكنتش فاهمة قصدك
شكرا للتوضيح
---
هاطبق الحاجات اللى ضفتها دلوقتى واحطها ف مثال ان شاء الله
شكرا ليك مرة تانية
رد مع اقتباس
  #24  
قديم 29-05-2009, 03:21 AM
الصورة الرمزية abdelRhman772007
abdelRhman772007 abdelRhman772007 غير متواجد حالياً
طالب جامعى (كلية هندسة )
 
تاريخ التسجيل: Nov 2007
المشاركات: 1,504
معدل تقييم المستوى: 20
abdelRhman772007 is on a distinguished road
افتراضي

الشكر لله
و متنساش إذا ناوى تعمل المثال مجيش على وقتك
الضرائب مصلحتك أولاً
__________________
من السهل أن يكون لك مكان في دفتر عناوين أصدقائك
ولكن من الصعب أن تجد لك مكاناً في قلوبهم

رد مع اقتباس
  #25  
قديم 08-06-2009, 07:56 PM
الصورة الرمزية Aya Muhammad
Aya Muhammad Aya Muhammad غير متواجد حالياً
عضو مجتهد
 
تاريخ التسجيل: Jun 2008
العمر: 34
المشاركات: 117
معدل تقييم المستوى: 18
Aya Muhammad is on a distinguished road
افتراضي

ألف شكر .. كنت والله بدور على الموضوع دة من زمان
ربنا يكرمك فى الامتحانات .. عندى استفسار صغير بس ..
ازاى نجيب معادلة انحدار س على ص
كل الكلام على
معادلة انحدار ص على س بس

آخر تعديل بواسطة Aya Muhammad ، 08-06-2009 الساعة 07:59 PM
رد مع اقتباس
  #26  
قديم 08-06-2009, 10:16 PM
mido mshakel mido mshakel غير متواجد حالياً
عضو جديد
 
تاريخ التسجيل: Jun 2009
المشاركات: 0
معدل تقييم المستوى: 0
mido mshakel is on a distinguished road
افتراضي

اقتباس:
المشاركة الأصلية كتبت بواسطة Aya Muhammad مشاهدة المشاركة
ألف شكر .. كنت والله بدور على الموضوع دة من زمان
ربنا يكرمك فى الامتحانات .. عندى استفسار صغير بس ..
ازاى نجيب معادلة انحدار س على ص
كل الكلام على
معادلة انحدار ص على س بس
هاتعكسى الجدولين
تحطى قيم سين ف جدول الـ y وقيم ص ف جدول الـ x
اهى يا آية

اقتباس:
قد يلحظ البعض عدم كتابة كيفية ايجاد معادلة س على ص
و السبب لأن طريقته كالآتى
ننقل الجدول هذه المرة مبدلاً بحيث نضع قيم س فى y و قيم ص فى x
ثم نفعل كما فعلنا مسبقاً فيكون
shift )))))))press 1 ))))))) Reg
A ثم يساوى فنحصل على الحد المطلق
B ثم يساوى فنحصل على معامل ص أى معامل انحدار س على ص
و افتكروا بس أنكم تشيلو من الجدول أى حاجة حسبناها عشان متأثرش على الجدول
عبد الرحمن قالها بس منى ماحطتهاش ف الشرح
رد مع اقتباس
  #27  
قديم 28-06-2009, 04:07 PM
الصورة الرمزية ريناد2025
ريناد2025 ريناد2025 غير متواجد حالياً
طالبة جامعية( اعدادى هندسة المنصورة )
 
تاريخ التسجيل: Aug 2008
العمر: 32
المشاركات: 425
معدل تقييم المستوى: 18
ريناد2025 is on a distinguished road
New استخدام الالة الحاسبة فى الاحصاء

ارجو من الاساتذةكيفية استخدام الالة الحاسبة فى الاحصاء بطريقة سهلة لان احد الطلاب ذكر طريقة ولانعرف هل هى صحيحة ام لاوشكرا
__________________
عذرا اليكم فما ضاعت مودتكم......... وما ارتضينا بغير الشوق عنوانا
يا من نقشتم على قلبى محبتكم ........وكنتم فى قرار العين سكانا
ابلغ اخا قد تولى الله صحبته.........إنى وان كنت لا القاه ألقاه
وإن طرفى موصول برؤيته ...........وان تباعد سكناى سكناه
ليته يعلم إنى لست أذكره .....
......وكيف اذكره إذ لست انساه

رد مع اقتباس
  #28  
قديم 28-06-2009, 11:20 PM
الصورة الرمزية أنين المذنبين
أنين المذنبين أنين المذنبين غير متواجد حالياً
طالب جامعى {تجارة القاهرة}
 
تاريخ التسجيل: Jun 2008
المشاركات: 1,040
معدل تقييم المستوى: 19
أنين المذنبين is on a distinguished road
افتراضي

استخدام الالة الحاسبة فى الاحصاء</strong>
__________________
ألستَ الذى رَبيتني وهديتني
ولازلتَ منّانًا عليَّ ومُنعما؟!
//*//*//
عسى مَنْ له الإحسانُ يغفرُ ذلّتي
ويسترُ أوزاري وماقدْ تقدّما
رد مع اقتباس
  #29  
قديم 29-06-2009, 12:30 AM
أيام وسنين أيام وسنين غير متواجد حالياً
عضو جديد
 
تاريخ التسجيل: Jun 2009
المشاركات: 33
معدل تقييم المستوى: 0
أيام وسنين is on a distinguished road
افتراضي

طب متذاكروا وخلاص
هو لازم التوهان دة
رد مع اقتباس
  #30  
قديم 29-06-2009, 12:56 AM
بارقة امل بارقة امل غير متواجد حالياً
طالبة جامعية (طب المنصورة)
 
تاريخ التسجيل: Oct 2007
المشاركات: 186
معدل تقييم المستوى: 19
بارقة امل is on a distinguished road
افتراضي

ممكن حد من المشرفين يثبت الموضوع ده
رد مع اقتباس
إضافة رد

العلامات المرجعية


ضوابط المشاركة
لا تستطيع إضافة مواضيع جديدة
لا تستطيع الرد على المواضيع
لا يمكنك اضافة مرفقات
لا يمكنك تعديل مشاركاتك

BB code متاحة
كود [IMG] متاحة
كود HTML معطلة

الانتقال السريع


جميع الأوقات بتوقيت GMT +2. الساعة الآن 10:19 PM.