اهلا وسهلا بك فى بوابة الثانوية العامة ... سجل الان

العودة   بوابة الثانوية العامة المصرية > الصف الثالث الثانوي 2024 / 2025 > شعبـة العلـوم و الرياضيـات > الرياضيات 3 ث > منهج الرياضيات التطبيقية 3ث > المراجعات والإمتحانات والأسئلة رياضيات تطبيقية 3 ث

إضافة رد
 
أدوات الموضوع انواع عرض الموضوع
  #46  
قديم 31-01-2009, 10:21 PM
mena288 mena288 غير متواجد حالياً
عضو متواصل
 
تاريخ التسجيل: Mar 2008
المشاركات: 947
معدل تقييم المستوى: 18
mena288 is on a distinguished road
افتراضي

اقتباس:
المشاركة الأصلية كتبت بواسطة abdelrhman772007 مشاهدة المشاركة
ده حل آخر بس كتبته بالانجليزى آسف على كده

و اعذرونى لو كنت قصرت من ناحيتى فى الحل

____________________________________
لن ننساكى يا غزة !


ممتاز عبد الرحمن

منكم نستفيد
__________________
ابداً بأذن الله محاضرات الفيزياء للعام الدراسى الجديد ....للفيزياء الحديثه لجامعه كامبريج الالكترونيه ... فى الغرفه المخصصه لها على البال توك
[CENTER] يوم الجمعه الساعه 12 من منتصف الليل 10/9
تابعونا ....
رد مع اقتباس
  #47  
قديم 31-01-2009, 10:55 PM
الصورة الرمزية abdelRhman772007
abdelRhman772007 abdelRhman772007 غير متواجد حالياً
طالب جامعى (كلية هندسة )
 
تاريخ التسجيل: Nov 2007
المشاركات: 1,504
معدل تقييم المستوى: 20
abdelRhman772007 is on a distinguished road
افتراضي

كلنا بنستفيد من بعض يا مينا و الحل ده بعد تفكير
__________________
من السهل أن يكون لك مكان في دفتر عناوين أصدقائك
ولكن من الصعب أن تجد لك مكاناً في قلوبهم

رد مع اقتباس
  #48  
قديم 31-01-2009, 11:06 PM
mena288 mena288 غير متواجد حالياً
عضو متواصل
 
تاريخ التسجيل: Mar 2008
المشاركات: 947
معدل تقييم المستوى: 18
mena288 is on a distinguished road
افتراضي

السوال الثامن

__________________
ابداً بأذن الله محاضرات الفيزياء للعام الدراسى الجديد ....للفيزياء الحديثه لجامعه كامبريج الالكترونيه ... فى الغرفه المخصصه لها على البال توك
[CENTER] يوم الجمعه الساعه 12 من منتصف الليل 10/9
تابعونا ....
رد مع اقتباس
  #49  
قديم 09-02-2009, 11:11 AM
asayed7719 asayed7719 غير متواجد حالياً
مدرس
 
تاريخ التسجيل: Jan 2008
المشاركات: 205
معدل تقييم المستوى: 19
asayed7719 is on a distinguished road
افتراضي

طول جـ ء = 12سم
__________________
السيد ابو الفتوح
رد مع اقتباس
  #50  
قديم 09-02-2009, 07:33 PM
mena288 mena288 غير متواجد حالياً
عضو متواصل
 
تاريخ التسجيل: Mar 2008
المشاركات: 947
معدل تقييم المستوى: 18
mena288 is on a distinguished road
افتراضي

اقتباس:
المشاركة الأصلية كتبت بواسطة asayed7719 مشاهدة المشاركة
طول جـ ء = 12سم

اجابة صحيحة


السؤال التاسع

__________________
ابداً بأذن الله محاضرات الفيزياء للعام الدراسى الجديد ....للفيزياء الحديثه لجامعه كامبريج الالكترونيه ... فى الغرفه المخصصه لها على البال توك
[CENTER] يوم الجمعه الساعه 12 من منتصف الليل 10/9
تابعونا ....
رد مع اقتباس
  #51  
قديم 09-02-2009, 08:34 PM
الصورة الرمزية theotherface
theotherface theotherface غير متواجد حالياً
طالب جامعى(هندسه اسكندريه)
 
تاريخ التسجيل: Jun 2008
المشاركات: 353
معدل تقييم المستوى: 18
theotherface is on a distinguished road
افتراضي

ياجمتعة ممكن مسائل على المعدلات الزمنية اصل التباديل والتوافيق (نسيتها)
رد مع اقتباس
  #52  
قديم 09-02-2009, 09:32 PM
الصورة الرمزية Sherif Elkhodary
Sherif Elkhodary Sherif Elkhodary غير متواجد حالياً
عضو متألق
 
تاريخ التسجيل: Jan 2008
المشاركات: 3,952
معدل تقييم المستوى: 22
Sherif Elkhodary is on a distinguished road
افتراضي

معلش يا اخ مينا
ممكن تقولي اجابة السؤال اللي فات
منتظر ردك
في امان الله
رد مع اقتباس
  #53  
قديم 09-02-2009, 11:24 PM
الصورة الرمزية abdelRhman772007
abdelRhman772007 abdelRhman772007 غير متواجد حالياً
طالب جامعى (كلية هندسة )
 
تاريخ التسجيل: Nov 2007
المشاركات: 1,504
معدل تقييم المستوى: 20
abdelRhman772007 is on a distinguished road
افتراضي

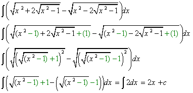
مش عارف محلتهاش من أول مرّة ليه
حاجة غريبة ! فعلاً شكلها ممكن يخدع
عموماً الحل فى المرفقات


ملحوظة تم تعديل الإجابة بموجب تنويه صاحب الموضوع
الصور المصغرة للصور المرفقة
اضغط على الصورة لعرض أكبر

الاســـم:	3.gif‏
المشاهدات:	69
الحجـــم:	4.1 كيلوبايت
الرقم:	16325  
__________________
من السهل أن يكون لك مكان في دفتر عناوين أصدقائك
ولكن من الصعب أن تجد لك مكاناً في قلوبهم


آخر تعديل بواسطة abdelRhman772007 ، 10-02-2009 الساعة 12:23 AM
رد مع اقتباس
  #54  
قديم 09-02-2009, 11:37 PM
mena288 mena288 غير متواجد حالياً
عضو متواصل
 
تاريخ التسجيل: Mar 2008
المشاركات: 947
معدل تقييم المستوى: 18
mena288 is on a distinguished road
افتراضي

اقتباس:
المشاركة الأصلية كتبت بواسطة شريف الخضري مشاهدة المشاركة
معلش يا اخ مينا
ممكن تقولي اجابة السؤال اللي فات
منتظر ردك
في امان الله


اولا اهلا بيك يا شريف

ثانيا اليك الحل ارجو ان يكون مفهوما



بما ان أم = م ب = 10 سم وهو نصف القطر

بما ان المثلث متساوى الساقين اذا المستقيم العمودى على القاعدة ينصفها

اذا س ب = 8 سم

فيثاغورس ينتج ان م س = 6سم

بما ان المثلث م س ه و المثلث ه ص ن متشابهان

وبما ان قياس زاوية ( ه ص ن) = 45 درجة

اذا المثلث متساوى الساقين

اذا طول م ه = 6 سم

اذا طول ه ن = 14 - 6 = 8 سم

عن طريق النسب الناتجة عن التشابهة نستطيع ايجاد طول ص ن = 8 سم

من ثم ايجاد طول ج د = 12 سم
__________________
ابداً بأذن الله محاضرات الفيزياء للعام الدراسى الجديد ....للفيزياء الحديثه لجامعه كامبريج الالكترونيه ... فى الغرفه المخصصه لها على البال توك
[CENTER] يوم الجمعه الساعه 12 من منتصف الليل 10/9
تابعونا ....
رد مع اقتباس
  #55  
قديم 09-02-2009, 11:44 PM
mena288 mena288 غير متواجد حالياً
عضو متواصل
 
تاريخ التسجيل: Mar 2008
المشاركات: 947
معدل تقييم المستوى: 18
mena288 is on a distinguished road
افتراضي

اقتباس:
المشاركة الأصلية كتبت بواسطة abdelRhman772007 مشاهدة المشاركة
مش عارف محلتهاش من أول مرّة ليه
حاجة غريبة ! فعلاً شكلها ممكن يخدع
عموماً الحل فى المرفقات

الحل يحتاج مراجعة
__________________
ابداً بأذن الله محاضرات الفيزياء للعام الدراسى الجديد ....للفيزياء الحديثه لجامعه كامبريج الالكترونيه ... فى الغرفه المخصصه لها على البال توك
[CENTER] يوم الجمعه الساعه 12 من منتصف الليل 10/9
تابعونا ....
رد مع اقتباس
  #56  
قديم 10-02-2009, 12:38 AM
mena288 mena288 غير متواجد حالياً
عضو متواصل
 
تاريخ التسجيل: Mar 2008
المشاركات: 947
معدل تقييم المستوى: 18
mena288 is on a distinguished road
افتراضي

تمام عبد الرحمن اجابة صحيحة

السؤال الجديد
__________________
ابداً بأذن الله محاضرات الفيزياء للعام الدراسى الجديد ....للفيزياء الحديثه لجامعه كامبريج الالكترونيه ... فى الغرفه المخصصه لها على البال توك
[CENTER] يوم الجمعه الساعه 12 من منتصف الليل 10/9
تابعونا ....
رد مع اقتباس
  #57  
قديم 12-02-2009, 11:12 PM
الصورة الرمزية abdelRhman772007
abdelRhman772007 abdelRhman772007 غير متواجد حالياً
طالب جامعى (كلية هندسة )
 
تاريخ التسجيل: Nov 2007
المشاركات: 1,504
معدل تقييم المستوى: 20
abdelRhman772007 is on a distinguished road
افتراضي

طلعت معايا - 2.5 سم تربيع لكل دقيقة
إذا كانت صحيحة سأقول فكرة حلى
__________________
من السهل أن يكون لك مكان في دفتر عناوين أصدقائك
ولكن من الصعب أن تجد لك مكاناً في قلوبهم

رد مع اقتباس
  #58  
قديم 12-02-2009, 11:28 PM
HESHAM RESALA HESHAM RESALA غير متواجد حالياً
عضو مجتهد
 
تاريخ التسجيل: Dec 2007
المشاركات: 87
معدل تقييم المستوى: 19
HESHAM RESALA is on a distinguished road
Impp

ممكن تشاركوني معاكم
رد مع اقتباس
  #59  
قديم 12-02-2009, 11:30 PM
HESHAM RESALA HESHAM RESALA غير متواجد حالياً
عضو مجتهد
 
تاريخ التسجيل: Dec 2007
المشاركات: 87
معدل تقييم المستوى: 19
HESHAM RESALA is on a distinguished road
افتراضي

مكن حد يرد علي؟
رد مع اقتباس
  #60  
قديم 12-02-2009, 11:31 PM
HESHAM RESALA HESHAM RESALA غير متواجد حالياً
عضو مجتهد
 
تاريخ التسجيل: Dec 2007
المشاركات: 87
معدل تقييم المستوى: 19
HESHAM RESALA is on a distinguished road
افتراضي

يا ريت حد يكون بيحب الخير للجميع يرد علي وانا هدعيلو وادعي لنفي
رد مع اقتباس
إضافة رد

العلامات المرجعية


ضوابط المشاركة
لا تستطيع إضافة مواضيع جديدة
لا تستطيع الرد على المواضيع
لا يمكنك اضافة مرفقات
لا يمكنك تعديل مشاركاتك

BB code متاحة
كود [IMG] متاحة
كود HTML معطلة

الانتقال السريع


جميع الأوقات بتوقيت GMT +2. الساعة الآن 12:39 PM.