اهلا وسهلا بك فى بوابة الثانوية العامة ... سجل الان

العودة   بوابة الثانوية العامة المصرية > الصف الثالث الثانوي 2024 / 2025 > شعبـة العلـوم و الرياضيـات > الرياضيات 3 ث > منهج الرياضيات البحتة 3 ث > المراجعات والامتحانات والاسئلة الرياضيات البحتة 3 ث

إضافة رد
 
أدوات الموضوع انواع عرض الموضوع
  #1  
قديم 04-07-2010, 10:38 AM
محمد صبره محمد صبره غير متواجد حالياً
معلم
 
تاريخ التسجيل: Jan 2009
المشاركات: 1,657
معدل تقييم المستوى: 19
محمد صبره is on a distinguished road
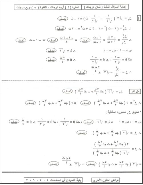
افتراضي امتحان الجبر والفراغية + نموذج الاجابة 2010

امتحان الجبر والفراغية + نموذج الاجابة 2010
داعيا الله عز وجل أن يكلل أعمالكم بالنجاح والتفوق
الصور المرفقة
نوع الملف: jpg algge_10[1].jpg‏ (51.6 كيلوبايت, المشاهدات 319)
نوع الملف: jpg alggeo10[1].jpg‏ (50.6 كيلوبايت, المشاهدات 279)
نوع الملف: jpg 1.JPG‏ (28.6 كيلوبايت, المشاهدات 276)
نوع الملف: jpg 2.JPG‏ (26.6 كيلوبايت, المشاهدات 255)
نوع الملف: jpg 3.JPG‏ (35.2 كيلوبايت, المشاهدات 240)
رد مع اقتباس
  #2  
قديم 04-07-2010, 10:40 AM
محمد صبره محمد صبره غير متواجد حالياً
معلم
 
تاريخ التسجيل: Jan 2009
المشاركات: 1,657
معدل تقييم المستوى: 19
محمد صبره is on a distinguished road
افتراضي

تابع امتحان الجبر والفراغية + نموذج الاجابة 2010
داعيا الله عز وجل أن يكلل أعمالكم بالنجاح والتفوق
الصور المرفقة
نوع الملف: jpg 4.JPG‏ (26.1 كيلوبايت, المشاهدات 210)
نوع الملف: jpg 5.JPG‏ (32.2 كيلوبايت, المشاهدات 195)
نوع الملف: jpg 6.JPG‏ (32.8 كيلوبايت, المشاهدات 185)
نوع الملف: jpg 7.JPG‏ (37.8 كيلوبايت, المشاهدات 200)
رد مع اقتباس
  #3  
قديم 04-07-2010, 12:05 PM
ABO_ALREGAL ABO_ALREGAL غير متواجد حالياً
عضو مجتهد
 
تاريخ التسجيل: Apr 2008
العمر: 67
المشاركات: 129
معدل تقييم المستوى: 18
ABO_ALREGAL is on a distinguished road
افتراضي

شكرا جزيلا لك
__________________
رد مع اقتباس
  #4  
قديم 08-07-2010, 09:58 AM
reda_29 reda_29 غير متواجد حالياً
عضو نشيط
 
تاريخ التسجيل: Mar 2009
المشاركات: 252
معدل تقييم المستوى: 18
reda_29 is on a distinguished road
افتراضي

جزاك الله خيرا
__________________
(( فقلت استغفروا ربكم إنه كان غفاراً ))




رد مع اقتباس
  #5  
قديم 08-07-2010, 10:03 AM
الصورة الرمزية المحب للرياضيات
المحب للرياضيات المحب للرياضيات غير متواجد حالياً
عضو فعال
 
تاريخ التسجيل: Dec 2008
المشاركات: 373
معدل تقييم المستوى: 18
المحب للرياضيات is on a distinguished road
افتراضي

رائع جدا وممتاز
__________________
رد مع اقتباس
  #6  
قديم 08-07-2010, 10:21 AM
الصورة الرمزية المحب للرياضيات
المحب للرياضيات المحب للرياضيات غير متواجد حالياً
عضو فعال
 
تاريخ التسجيل: Dec 2008
المشاركات: 373
معدل تقييم المستوى: 18
المحب للرياضيات is on a distinguished road
افتراضي

جميل جدا ورائع
__________________
رد مع اقتباس
  #7  
قديم 08-07-2010, 10:22 AM
الصورة الرمزية المحب للرياضيات
المحب للرياضيات المحب للرياضيات غير متواجد حالياً
عضو فعال
 
تاريخ التسجيل: Dec 2008
المشاركات: 373
معدل تقييم المستوى: 18
المحب للرياضيات is on a distinguished road
افتراضي

__________________
رد مع اقتباس
  #8  
قديم 09-07-2010, 02:26 PM
محمد صبره محمد صبره غير متواجد حالياً
معلم
 
تاريخ التسجيل: Jan 2009
المشاركات: 1,657
معدل تقييم المستوى: 19
محمد صبره is on a distinguished road
افتراضي

اقتباس:
المشاركة الأصلية كتبت بواسطة abo_alregal مشاهدة المشاركة
شكرا جزيلا لك
الشكر لله
وما بكم من نعمة فمن الله
رد مع اقتباس
  #9  
قديم 09-07-2010, 05:51 PM
الصورة الرمزية احمد الديب ( ابو زياد )
احمد الديب ( ابو زياد ) احمد الديب ( ابو زياد ) غير متواجد حالياً
مــٌــعلــم
 
تاريخ التسجيل: Oct 2006
المشاركات: 2,447
معدل تقييم المستوى: 0
احمد الديب ( ابو زياد ) is an unknown quantity at this point
افتراضي

لكم جزيل الشكر
و
جزاك الله خيرا
رد مع اقتباس
إضافة رد

العلامات المرجعية


ضوابط المشاركة
لا تستطيع إضافة مواضيع جديدة
لا تستطيع الرد على المواضيع
لا يمكنك اضافة مرفقات
لا يمكنك تعديل مشاركاتك

BB code متاحة
كود [IMG] متاحة
كود HTML معطلة

الانتقال السريع


جميع الأوقات بتوقيت GMT +2. الساعة الآن 09:28 AM.