اهلا وسهلا بك فى بوابة الثانوية العامة ... سجل الان

العودة   بوابة الثانوية العامة المصرية > الصف الثالث الثانوي 2024 / 2025 > شعبـة العلـوم و الرياضيـات > الرياضيات 3 ث > منهج الرياضيات البحتة 3 ث > المراجعات والامتحانات والاسئلة الرياضيات البحتة 3 ث

إضافة رد
 
أدوات الموضوع انواع عرض الموضوع
  #1  
قديم 27-06-2011, 05:07 PM
محمد صبره محمد صبره غير متواجد حالياً
معلم
 
تاريخ التسجيل: Jan 2009
المشاركات: 1,657
معدل تقييم المستوى: 19
محمد صبره is on a distinguished road
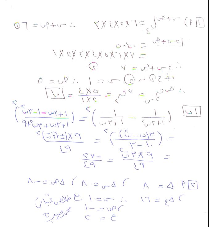
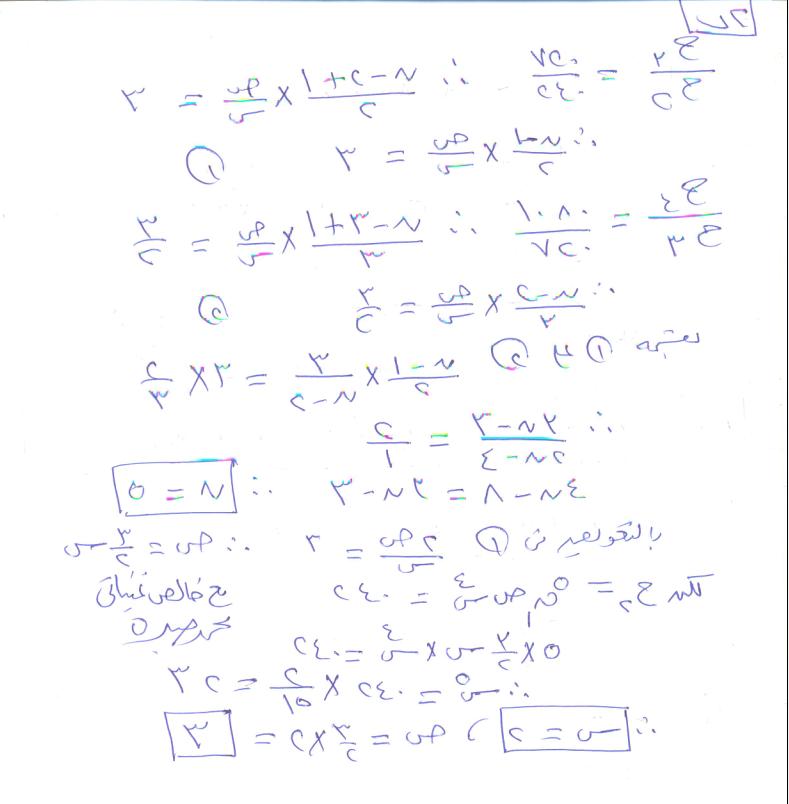
افتراضي صورة امتحان الجبر والفراغية +الاجابة 2011

صورة امتحان الجبر والفراغية +الاجابة 2011
مع خالص تمنياتى بالتوفيق
لمن لم تظهر له الصورة مباشرة شاهدها من المرفقات






الصور المرفقة
نوع الملف: jpg جب1.JPG‏ (37.3 كيلوبايت, المشاهدات 307)
نوع الملف: jpg جب2.JPG‏ (48.0 كيلوبايت, المشاهدات 202)
نوع الملف: jpg جب3.JPG‏ (53.4 كيلوبايت, المشاهدات 196)
نوع الملف: jpg جب4.JPG‏ (52.6 كيلوبايت, المشاهدات 188)
نوع الملف: jpg جب5.JPG‏ (44.4 كيلوبايت, المشاهدات 203)

آخر تعديل بواسطة محمد صبره ، 27-06-2011 الساعة 07:50 PM
رد مع اقتباس
  #2  
قديم 27-06-2011, 05:16 PM
مشمش الورد مشمش الورد غير متواجد حالياً
عضو مجتهد
 
تاريخ التسجيل: Aug 2010
المشاركات: 112
معدل تقييم المستوى: 16
مشمش الورد is on a distinguished road
افتراضي

جزاك الله خيرا
رد مع اقتباس
  #3  
قديم 27-06-2011, 05:18 PM
مشمش الورد مشمش الورد غير متواجد حالياً
عضو مجتهد
 
تاريخ التسجيل: Aug 2010
المشاركات: 112
معدل تقييم المستوى: 16
مشمش الورد is on a distinguished road
افتراضي

حضرتك ممكن استفسار السؤال الثانى ب قيمة س/ ص 2/3 ولا3/2
رد مع اقتباس
  #4  
قديم 27-06-2011, 05:24 PM
محمد صبره محمد صبره غير متواجد حالياً
معلم
 
تاريخ التسجيل: Jan 2009
المشاركات: 1,657
معدل تقييم المستوى: 19
محمد صبره is on a distinguished road
افتراضي

اقتباس:
المشاركة الأصلية كتبت بواسطة مشمش الورد مشاهدة المشاركة
حضرتك ممكن استفسار السؤال الثانى ب قيمة س/ ص 2/3 ولا3/2
ص على س = 3 على 2
رد مع اقتباس
  #5  
قديم 27-06-2011, 05:25 PM
مشمش الورد مشمش الورد غير متواجد حالياً
عضو مجتهد
 
تاريخ التسجيل: Aug 2010
المشاركات: 112
معدل تقييم المستوى: 16
مشمش الورد is on a distinguished road
افتراضي

اصلى هو قال فى السؤال حسب قوى س التنازلية وده قلقنى وملخبطنى ممكن تطمنى
رد مع اقتباس
  #6  
قديم 27-06-2011, 05:37 PM
Sigmostri Sigmostri غير متواجد حالياً
عضو جديد
 
تاريخ التسجيل: Mar 2010
المشاركات: 7
معدل تقييم المستوى: 0
Sigmostri is on a distinguished road
افتراضي

جضرتك انا المسألة الاخيرة فى الفراغية انا عملتها بنظرية 5 برضو الى هيا ان القطرين متعامدين وبيعملو زاوية زوجية 90 درجة يبقي المستوين متعامدين
ياتري كدة صح ولا غلط وممكن يعدوها ولا لا؟!!
رد مع اقتباس
  #7  
قديم 27-06-2011, 05:44 PM
ms_lv2006 ms_lv2006 غير متواجد حالياً
عضو مجتهد
 
تاريخ التسجيل: Mar 2010
العمر: 33
المشاركات: 70
معدل تقييم المستوى: 16
ms_lv2006 is on a distinguished road
افتراضي

حلو بس الاوميجا طلعت معايا 27 بس الخطوات كلها زي مانت عامل هاخد كام وبرضو الجزر التربيعي للصورة الاسية التاني مطلعش كدا هاخد كام برضو
__________________
رد مع اقتباس
  #8  
قديم 27-06-2011, 06:26 PM
adly dodo adly dodo غير متواجد حالياً
عضو ممتاز
 
تاريخ التسجيل: Aug 2010
المشاركات: 316
معدل تقييم المستوى: 16
adly dodo is on a distinguished road
افتراضي

thanks aloooooooooooooooooooooooooooooooooooooooooooooot
رد مع اقتباس
  #9  
قديم 27-06-2011, 06:29 PM
محمد صبره محمد صبره غير متواجد حالياً
معلم
 
تاريخ التسجيل: Jan 2009
المشاركات: 1,657
معدل تقييم المستوى: 19
محمد صبره is on a distinguished road
افتراضي

اقتباس:
المشاركة الأصلية كتبت بواسطة sigmostri مشاهدة المشاركة
جضرتك انا المسألة الاخيرة فى الفراغية انا عملتها بنظرية 5 برضو الى هيا ان القطرين متعامدين وبيعملو زاوية زوجية 90 درجة يبقي المستوين متعامدين
ياتري كدة صح ولا غلط وممكن يعدوها ولا لا؟!!
ممكن يعدوها أول يارب
رد مع اقتباس
  #10  
قديم 27-06-2011, 06:31 PM
محمد صبره محمد صبره غير متواجد حالياً
معلم
 
تاريخ التسجيل: Jan 2009
المشاركات: 1,657
معدل تقييم المستوى: 19
محمد صبره is on a distinguished road
افتراضي

اقتباس:
المشاركة الأصلية كتبت بواسطة ms_lv2006 مشاهدة المشاركة
حلو بس الاوميجا طلعت معايا 27 بس الخطوات كلها زي مانت عامل هاخد كام وبرضو الجزر التربيعي للصورة الاسية التاني مطلعش كدا هاخد كام برضو
ممكن يعدوها لان الجذرين معا عليهم نصف درجة
رد مع اقتباس
  #11  
قديم 27-06-2011, 06:32 PM
محمد صبره محمد صبره غير متواجد حالياً
معلم
 
تاريخ التسجيل: Jan 2009
المشاركات: 1,657
معدل تقييم المستوى: 19
محمد صبره is on a distinguished road
افتراضي

اقتباس:
المشاركة الأصلية كتبت بواسطة adly dodo مشاهدة المشاركة
thanks aloooooooooooooooooooooooooooooooooooooooooooooot
الشكر لله والحمد لله
رد مع اقتباس
  #12  
قديم 27-06-2011, 06:43 PM
الصورة الرمزية Mr.Ahlawy
Mr.Ahlawy Mr.Ahlawy غير متواجد حالياً
عضو نشيط
 
تاريخ التسجيل: Oct 2009
العمر: 32
المشاركات: 230
معدل تقييم المستوى: 17
Mr.Ahlawy is on a distinguished road
افتراضي

الحمـــد لله
__________________
مازال يعدو جهده نحوها ........ حتى هوى من فوق تلك القِلالِ
فرحمة الله على طالـــبٍ ........ مات شهيدًا للأماني الطـُــــوالي

رد مع اقتباس
  #13  
قديم 27-06-2011, 06:44 PM
الصورة الرمزية Mohamed Omran
Mohamed Omran Mohamed Omran غير متواجد حالياً
Study at Faculty of Petroleum and Mining Engineering - Suez Canal University & الفائز بمسابقة من سيربح ال100 نقطة للموسم الثانى
 
تاريخ التسجيل: Aug 2009
المشاركات: 835
معدل تقييم المستوى: 17
Mohamed Omran is on a distinguished road
افتراضي

الف شكر استاذى الغالى

بارك الله فيك
__________________
oOoOo سبحان الله وبحمده سبحان الله العظيم oOoOo

oO FaceBooky Oo
رد مع اقتباس
  #14  
قديم 27-06-2011, 06:55 PM
ربنا يستر... ربنا يستر... غير متواجد حالياً
عضو مجتهد
 
تاريخ التسجيل: Jun 2010
المشاركات: 44
معدل تقييم المستوى: 0
ربنا يستر... is on a distinguished road
افتراضي

يا مستر انا في اخر مسـألة ثالثا ... اثبتت ان ( أهـ ب ) هي الزاوية الزوجية بينهم وهي قياسها 90 إذا المستويان متعامدان ... صح ؟
__________________
98%((97.9))---200.5----

الـــــــــــــحــــــــمد لله......

دعيت ربنا يستر .... والحمد لله ســــــــــــتـــــر
رد مع اقتباس
  #15  
قديم 27-06-2011, 07:41 PM
محمد صبره محمد صبره غير متواجد حالياً
معلم
 
تاريخ التسجيل: Jan 2009
المشاركات: 1,657
معدل تقييم المستوى: 19
محمد صبره is on a distinguished road
افتراضي

اقتباس:
المشاركة الأصلية كتبت بواسطة mr.ahlawy مشاهدة المشاركة
الحمـــد لله
الشكر لله والحمد لله
رد مع اقتباس
إضافة رد

العلامات المرجعية


ضوابط المشاركة
لا تستطيع إضافة مواضيع جديدة
لا تستطيع الرد على المواضيع
لا يمكنك اضافة مرفقات
لا يمكنك تعديل مشاركاتك

BB code متاحة
كود [IMG] متاحة
كود HTML معطلة

الانتقال السريع


جميع الأوقات بتوقيت GMT +2. الساعة الآن 03:29 PM.